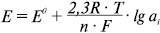
ІОНОСЕЛЕКТИВНІ ЕЛЕКТРОДИ (мембранні електроди) — електрохімічні напівелементи електрохімічного ланцюга, потенціали яких залежать від активності у розчині іона, до якого селективний цей електрод. Потенціал ідеального І.е. описується рівнянням Нернста:
,
де Е0 — стандартний електродний потенціал електрода; R — газова постійна; T — температура розчину, К; n — заряд іона з відповідним знаком; ai — активність іона, до якого селективний електрод.
Величина
називається Нернстівським кутовим коефіцієнтом: при 25 °С для однозарядного іона S=59,16 мВ; для двозарядного — S=29,58 мВ. На потенціал реальних І.е. чинять деякий вплив також інші іони розчину, а не тільки ті, до яких електрод селективний. Цей вплив враховується рівнянням Нікольського:
,
де А — іон, до якого електрод селективний; В — іон, до якого електрод неселективний; y — кількість іонів у розчині, до яких електрод неселективний; nA, nB — заряд іонів А і В відповідно з відповідним знаком; KA/B — потенціометричний коефіцієнт селективності електрода до іона В.
Чим менше значення KA/B, тим менший вплив іона В на потенціал І.е.
Наведені рівняння покладені в основу потенціометричного визначення іонів (див. Потенціометрія). І.е. — електрохімічна система, основним елементом якої є мембрана, проникна лише для іона, який аналізують. Мембрана розділяє два розчини електроліту: розчин, що аналізують (зовнішній розчин), та стандартний розчин (внутрішній). Внутрішній розчин має точно відому концентрацію іона, що аналізують. Між розчинами виникає різниця потенціалів, яка дорівнює сумі міжфазних потенціалів та внутрішнього дифузійного потенціалу (див. Мембранний потенціал). Для вимірювання цієї різниці потенціалів у зовнішній та внутрішній розчини вміщують два ідентичних електроди порівняння (див. Електроди порівняння) і приєднують їх до електровимірювального приладу, напр. до високоомного мілівольтметра. Вимірювана величина і є потенціалом І.е.
Розрізняють чотири основних типи І.е.
1. І.е. з твердофазною мембраною. Мембрани таких електродів можуть бути гомогенними, виготовленими з моно- або полікристалів важкорозчинних солей, та гетерогенними, виготовленими з тих же солей, але у суміші з інертною матрицею: різними полімерами, каучуками, порошкуватим Ag2S. Твердофазні мембрани виготовляють також зі спечених або пресованих сумішей халькогенідів двовалентних металів (Pb2+, Cd2+, Cu2+ та ін.). На основі твердофазних мембран розроблені І.е. на галогенід-іони (Cl–, Br–, I–, F–), на NCS–, S2–, Ag+, Pb2+, Cd2+, Hg2+, Cu2+ та ін.
2. І.е. з рідинною мембраною. Мембрана таких електродів являє собою рідинну фазу, яка складається з органічного розчинника, що не змішується з водою, в якому розчинені рідинні катіоніти або аніоніти, або нейтральні хелатні сполуки (мембраноактивні комплексони чи іонофори). Така мембрана може безпосередньо або через пористу діафрагму стикатися з розчином, який аналізують. На основі рідинних мембран розроблено десятки І.е. на іони як неорганічної, так і органічної природи. Основні недоліки І.е. з рідинними мембранами — це їх малий робочий ресурс та низька швидкість встановлення потенціалу.
3. І.е. з плівковими мембранами. Мембрани таких електродів — тонкі пластифіковані полімерні плівки, які містять як матрицю гідрофобний полімер (напр. полівінілхлорид), пластифікатор та електродоактивну речовину, таку ж, як і рідинна мембрана. Електроаналітичні характеристики І.е. з плівковими мембранами значно перевищують характеристики електродів з рідинними мембранами. На основі плівкових мембран розроблені та випускаються промисловістю І.е. на найбільш важливі іони: галогенідів, лужних та лужноземельних металів, нітрат-іонів тощо. Розроблено декілька десятків плівкових І.е. з функціями ЛП: папаверину, новокаїну, лідокаїну, трамадолу, декаметоксину, вітамінів групи В та ін.
4. І.е. зі скляною мембраною (скляні електроди). Мембрани таких електродів — тонкостінна порожниста кулька або тонка пластинка, виготовлені зі скла спеціального складу. До складу такого скла входять SiO2, Al2O3, Li2O, Na2O, BaO, Ce2O та ін. На основі скляних мембран промисловість випускає скляні електроди для вимірювання рН у межах –2:14 одиниць, рNa, рNH4 i pAg — у межах –0,5:4 одиниці.
Розроблені і знайшли застосування спеціальні І.е., напр. газочутливі для потенціометричного визначення деяких газів: NH3, CO2, SO2, H2S; ферментні для визначення неіоногенних органічних сполук: сечовини, глюкози та ін.; бактеріальні, імуноелектроди, електроди на основі біологічної тканини та ін.
І.е. широко застосовують у фармації, загальнохімічному аналізі, у дослідженні механізмів хімічних реакцій, у медико-біологічних дослідженнях, контролі навколишнього середовища тощо.
Корыта И., Штулик К. Ионоселективные электроды. — М., 1989; Никольский Б.П., Матерова Е.А. Ионоселективные электроды. — Л., 1980; Хаваш Е. Иономолекулярноселективные електроды в биологических системах. — М., 1988.
