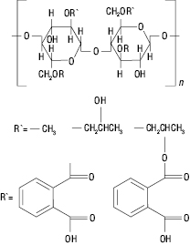
ГІДРОКСИПРОПІЛМЕТИЛЦЕЛЮЛОЗИ ФТАЛАТ (ГПМЦ фталат), Hyрromellosi phthalas (Ph Eyr), Hyрromellosе phthalate (UPSNF, BP), Cellulose hydrogen 1,2-benzenebiearboxylate 2-hydroxypropil metil ether (CAS № 9050-31-1); син.: Cellulose phthalate hydroxypropil methyl ether; HPMCP — целюлоза, в якій декілька гідроксильних груп заміщені метиловим, 2-гідроксипропіловим та фталіловим етерами. Комерційно доступні види Г.ф. з мол. м. у межах 20 000–200 000 (у середньому 80 000–130 000).

Г.ф. одержують шляхом етерифікації гідромелози із фталатом ангідриду. Ступінь заміщення в алкілокси- і карбоксибензоїлі визначають властивості полімеру і частково рН водного розчину при розчиненні. Г.ф. зустрічається у вигляді білих або майже білих порошкоподібних пластівців або гранульованого порошку, без запаху або з легким кислуватим запахом і ледве помітним смаком. Має такі властивості: скіс (нахил) природного кута — 37° для НР-50, 39°для НР- 55 і 38° для НР-55S; щільність — 1,82 г/см3 для НР-50; 1,65 г/см3 — для НР-55; щільність (bulk) — 0,278 г/см3 для НР-50; 0,275 г/ см3 — для НР-55; 0,239 г/см3 — для НР-55S; щільність (порошкованої) — 0,345 г/ см3 — для НР-50; 0,306 г/ см3 — для НР-55; 0,288 г/ см3 — для НР-55S; Тпл — 150 °С.
Г.ф. гігроскопічний містить 2–5% вологи (залежно від температури і вологості повітря). Швидкорозчинний у суміші ацетону та метанолу або етанолу (1:1), у суміші метанолу та дихлорметану (1:1), водних лугах. Практично нерозчинний у воді й дуже малорозчинний в ацетоні.
Г.ф. широко використовується при виготовленні пероральних ЛП (таблеток, гранул) як обволікаюча речовина (у концентрації 5–10%): вона не розчиняється в шлунковому соку, але набрякає й швидко розчиняється у верхній ділянці кишечнику. З цією метою Г.ф. розчиняють у суміші дихлорметан — спирт (1:1) або спирт — вода (8:2) і додають у таблетки чи гранули без пластифікаторів або інших формоутворювачів, використовуючи звичайні технології. Додавання невеликої кількості води або пластифікатора може усунути проблему з розчиненням. Як пластифікатори можна використати діацетин, триацетин, діетил і дибутил фталат, рицинову олію, ПЕГ, які сумісні з Г.ф. Таблетки, покриті Г.ф., розпадаються значно швидше, ніж таблетки, покриті целюлози ацетилфталатом. Г.ф. може використовуватись окремо, або в комбінації з іншими розчинними або нерозчинними зв’язувальними речовинами при виготовленні гранул з пролонгованим вивільненням АФІ; швидкість вивільнення є рН-залежною. Оскільки Г.ф. не має смаку і не розчиняється у слині, вона може використовуватися як обволікаюча речовина, яка маскує неприємний смак при виготовленні деяких таблеток.
Подібні до Г.ф. властивості мають також целюлозоацетатфталат та гіпромелоза.
Жогло Ф., Возняк В., Попович В., Богдан Я. Допоміжні речовини та їх застосування в технології лікарських форм. — Львів, 1996; Фармацевтичні та медико-біологічні аспекти ліків / І.М. Перцев, О.Х. Пімінов, М.М. Слободянюк та ін.; за ред. І.М. Перцева. — Вінниця, 2007; Thoma K., Heckenmuller H. Impact of film formers and plasticizers on stability of resistance and disintegration behaviour [in German] // Pharmazie. — 1987. — № 42; Muhammad N.A., Boisvert W., Harris M.R., Weiss J. Evaluation of hydroxypropyl methylcellulose phthalate 50 as film forming polymer from aquecous sipersion systems // Drug Dev. Ind. Pharm. — 1989. — № 18.
