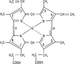
ГЕМ (лат. haemum < грец. haima — кров) — хелатний комплекс протопорфірину IX з атомом феруму. Він входить до складу простетичних груп складних білків — гемопротеїдів (гемоглобіну, міоглобіну, каталази, цитохромів). Протопорфірин є похідним ароматичної гетероциклічної системи — порфіну, яка складається із чотирьох пірольних кілець, зв’язаних між собою метиновими (–СН=) містками. Протопорфірин IX має в положеннях 1, 3, 5 і 8 метильні групи, у положеннях 2 і 4 — вінільні, а в положеннях 6 і 7 — залишки пропіонової кислоти:

Г., який має подібну структуру, відносять до типу b. Виділяють ще Г. a, c та d, які відрізняються природою замісника в положенні 1 та 4. Більшість гемопротеїнів в організмі тварин містить Г. b (гемоглобін, міоглобін, каталаза, цитохроми). Ферум (Fe2+) зв’язується з атомами нітрогену пірольних циклів за допомогою двох ковалентних і двох координаційних зв’язків, розміщених перпендикулярно до площини порфіринового угруповання. У гемопротеїдах (гемоглобін, міоглобін) п’яте координаційне положення Fe2+ сполучене із залишками гістидину глобіну. Шосте положення ферогему може бути вільним (відновлена форма) чи зв’язаним із різними лігандами (О2, СО, NO тощо). В усіх цитохромах п’яте і шосте координаційні положення сполучаються з амінокислотними залишками, тому цитохроми не можуть зв’язувати кисень. У гемоглобіні та міоглобіні, функція яких полягає у транспортуванні та депонуванні кисню, під час приєднання та відщеплення кисню ступінь окиснення (Fe2+) не змінюється. У Г. цитохромів внаслідок зміни ступеня окиснення іона феруму електрони переміщаються електрон-транспортним ланцюгом, що забезпечує окиснення різних субстратів у процесі тканинного дихання. Синтез Г. — складний ферментативний процес, який найактивніше відбувається в кістковому мозку та печінці. Порушення процесів біосинтезу Г. — порфірії — супроводжується накопиченням і виведенням із сечею чи калом порфіринів та їх похідних. Г. руйнується до білірубіну, який надходить до кишечнику, де підпадає під дію ферментів кишкової флори і виводиться з організму (див. Жовчні пігменти).
Біологічна хімія / Л.М. Вороніна, В.Ф. Десенко, Н.М. Мадієвська та ін. — Х., 2000; Боєчко Ф.Ф., Боєчко Л.О. Основні біохімічні поняття, визначення і терміни. — К., 1993; Губський Ю.І. Біологічна хімія. — К.–Тернопіль, 2000.
