ГОРОХ ПОСІВНИЙ (Pisum sativum L.; лат. Pisa — у місті Піза вперше було знайдено й описано обвуглені зерна гороху; лат. sativum — посівний) — однорічна трав’яниста гола рослина родини бобових — Fabaceae (Leguminosae); рос. назва: горох посевной. До дикорослих видів роду гороху належать Г. польовий (P. arvense L.), Г. приземний (P. humile Boiss.), Г. високий (P. elatius M.B.), Г. красивий (P. formosum Stek), які є дикорослими представниками флори Африки. До культурних видів належать Г. посівний (P. sativum L.), Г. абіссинський (P. abissinicum A.Br.). Г. найбільш поширений в Індії, США, країнах Західної Європи, СНД, Північної Африки, в Канаді, Австралії. На території України найпоширеніші численні сорти трьох видів гороху: P. sativum L., P. elatius M.B. та P. arvense L. Господарське значення має P. sativum L., який поділяють на чотири підвиди: P. sativum L. subsp. sativum, P. sativum L. subsp. arvense, P. sativum L. subsp. asiaticum та P. sativum L. subsp. transcaucasicum. Як сільськогосподарська культура Г.п. відомий близько семи тисячоліть. Г.п. посідає одне з основних місць завдяки високоврожайності, великому вмісту білків та займає понад 66% площі бобових у світі. Стебло Г.п. чотиригранне, порожнисте, сланке або повзуче, 50–100 см завд. Листки складаються з 2–3 пар бокових листочків, закінчуються розгалуженими вусиками; листочки яйцеподібні, цілокраї. Квітки двостатеві, неправильні; віночок білий, рідше рожеві крила. Плід — біб. Цвіте у червні–липні. Рослина офіцинальна. Сировиною є трава — Herba Pisi sativi, зібрана під час цвітіння рослини, яка містить гідроксикоричні кислоти, гідроксикумарини, флавоноїди: головними є моно-, ди- і триглікозиди кверцетину і кемпферолу, часто ацильовані за третім і другим цукровим залишком гідроксикоричними кислотами: n-кумаровою, феруловою та кавовою; амінокислоти, полісахариди, мікроелементи. У насінні Г.п. міститься 26–27%, а в траві — 19–25% легкозасвоюваного білка, багатого на незамінні амінокислоти (цистин, лізин, триптофан, тирозин, метіонін та ін.). Г.п. містить вуглеводи, гетерополісахариди, крохмаль, жир, каротин, вітаміни В1, В2, В6, С, РР, К, Е; холін, солі калію, марганцю, фосфору, кальцію; лектини, жири, інозит.
У результаті проведених у НФаУ фармакологічних досліджень сумарного комплексу БАР (сухий екстракт) трави Г.п. виявлено його антиоксидантну і гепатопротекторну активність; на основі екстракту Г.п. створено препарат Піфламін, який чинить гепатопротекторну дію. Відвар насіння Г.п., а також трави зумовлює сильну сечогінну дію, сприяє виведенню солей і розчиненню каменів у нирках. Наявність у насінні Г.п. незначної кількості похідних куместану (зокрема куместролу) та м-ксилогідрохінону зумовлює його естрогенну активність.

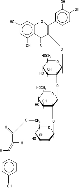
Кверцетин-3-софоротріозидо-п-кумарат
Гідроксикоричні кислоти пригнічують реакції перекисного окиснення ліпідів, інгібують цитоліз гепатоцитів, відновлюють жовчоутворення в умовах токсичного та алкогольного гепатиту. При пероральному застосуванні у мишей p-кумарова кислота у дозі 50 мг/кг маси тіла забезпечує 100% протизаплідний ефект. Алантоїн, який було виділено із стебел Г.п., чинить репаративну, протизапальну та протипухлинну дію; ізофлавоноїди Г.п. (птерокарпани і куместани) — фунгіцидну активність. Наявність у насінні Г.п. лектинів сприяє розсмоктуванню набряків при запальних інфільтратах, карбункулах і фурункулах. Лектини Г.п. стимулюють лімфоцити селезінки, що зумовлює генерування неспецифічних клітин-кілерів, які пригнічують ріст пухлинних клітин та ушкоджують стінки ракових клітин. Комбінація лектинів із протеолітичними ферментами Г.п. виявилася ефективною при дії на низку різних пухлин. Вміст у насінні й траві високих концентрацій незамінних амінокислот, які найбільш близькі до білків тваринного походження, робить Г.п. незамінним при анемії, виснаженні, синдромі недостатності кишкового травлення та всмоктування. Зелений горошок корисно вживати хворим на анемію. Рослина має сечогінні та гіпоглікемічні властивості, її використовують при нирковокам’яній хворобі та цукровому діабеті. З розтертого на борошно зеленого Г.п. готують маски для оздоровлення шкіри обличчя. Припарки з борошна Г.п. використовують при наривах і фурункулах. Із сухого насіння готують супи і каші; зелений Г.п. вживають свіжим, консервують, заморожують. Протипоказано вживати насіння Г.п. при подагрі, гострому нефриті, загостренні запальних процесів шлунка і кишечнику, при хронічній недостатності кровообігу.
Гепатозахисні властивості піфламіну — поліфенольного препарату з трави Гороху посівного / Л.В. Яковлєва, В.В. Чікіткіна, О.А. Герасимова та ін. // Клін. фармація. — 1998. — Т. 2, № 1; Експериментально-клінічне вивчення нового гепатопротектора піфламін / О.Я. Бабак, І.Е. Кушнір, Н.Д. Бунятян та ін. // Клін. фармація. — 1999. — Т. 3. — № 1; Ковальова А.М., Ковальов В.М., Комісаренко М.Ф., Городнянська Л.М. Дослідження фенольних сполук рослин родів горошок та горох // Вісн. фармації. — 1994. — № 1–2; Expression of MsLEC1 Transgenes in Alfalfa Plants Causes Symbiotis Abnormalities / Brill L.M., Fujishige N.A., Hackworth C.A., Hirsch A.M. // Molecular Plant-Microbe Interactions. — 2004. — Vol. 17, № 1; Hepatoprotective principle and structure of ionone glucoside phenetril glycoside, and flavonol oligoglycosides from young seedpods of garden peas, Pisum sativum L. Murakanci Toshiyuki, Kohno Kentarou, Ninomiya Kiofumi, Matsuda Hisashi, Yoshikawa Masayuki // Chem. and Pharm. Bull. — 2001 — 49, № 8.
