ГЛІКОАЛКАЛОЇДИ (стероїдні алкалоїди) — псевдоалкалоїди, які поєднують властивості стероїдних сапонінів і алкалоїдів. Існує три основні групи стероїдних алкалоїдів: похідні холестану (С27), С-нор-D-гомостероїдні алкалоїди, похідні прегнану (С21). Відомо близько 350 сполук, виявлених у родинах Пасльонових (Solanaceae), Лілійних (Liliaceae), Самшитових (Buxaceae), Кутрових (Apocynaceae), Симарубових (Simaroubaceae). Стероїдні алкалоїди накопичуються у вакуолях клітин, синтезуються в коренях і пагонах, причому найбільш інтенсивний синтез відбувається в меристематичних тканинах цих органів.
Похідні холестану (С27) становлять азотисті аналоги С27-сапогенінів. Основу сполук цієї групи становить ядро циклопентанпергідрофенантрену, зв’язане з гетероциклічною системою (атом азоту при С27). Як і стероїдні сапоніни, вони виявляють поверхневу і гемолітичну властивості, зв’язують холестерин. У рослинах утворюються з холестеролу. Виявлені головним чином у рослинах родини Пасльонових (Solanaceae). У природі існують у вигляді глікозидів. Цукровий компонент з’єднаний з агліконом глікозидним зв’язком у положенні С-3. Вуглеводна частина монозидна або олігозидна, містить D-глюкозу, D-галактозу, α-рамнозу, α-арабінозу, D-ксилозу, α-фруктозу або D-глюкуронову та D-галактуронову кислоту. У більшості Г. у положеннях С-5,6 є подвійний зв’язок, у положеннях С10, С13, С18 — метильні групи.
Поділяються на дві групи, в яких основні структури представлені спіросоланом і соланідином. Одним із найважливіших представників спіросоланової групи є соласодин, а його глікозидом — соласонін (нормальний ряд сполук), а також томатидин і його глікозид α-томатин (ізо-ряд сполук).

Соласодин

Соланідин

Томатидин
Слід підкреслити важливу стереохімічну різницю конфігурації атома С22 у соласодині й томатидині (цис- і транс-розташування кілець). Соланідинову групу стероїдних алкалоїдів становлять сполуки, в яких кільця E і F сконденсовані. Найчастіше їх виявляють у рослинах родів Solanum і Veratrum. Основні з них соланідин та його глікозиди: α-соланін (містить трисахарид солатріозу по С3), β-соланін (біозид-солабіоза), γ-соланідин (моноглікозид-галактоза по С3).
У рослин з родини Solanaceae виявлені також сполуки без кільця Е, напр. томатидилін. Можливо, вони є проміжним продуктом біосинтезу.
Похідні соласодину використовують як субстанції для напівсинтезу стероїдних гормонів.

Томатидилін
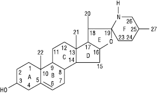
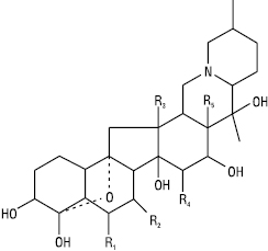
С-нор-D-гомостероїдні алкалоїди — Г., в яких ангулярна метильна група в С-кільці (напр. С-18) зникла, а кільце D розширене на один атом вуглецю; поширені тільки у представників родини Melanthiaceae, особливо у видів роду Veratrum. Розрізняють дві групи: єрвератрові та цевератрові. Єрвератрові алкалоїди містять від 1 до 4, цевератрові — від 7 до 8 атомів кисню в молекулі. До єрвератрової групи належать йєрвін, верамарин, вертицин та ін. Представниками цевератрової групи є гермін, протоверин, верацевін та ін.

Йєрвін

| R1 | R2 | R3 | R4 | R5 | |
| Н | ОН | Н | ОН | Н | – Гермін |
| ОН | ОН | Н | ОН | Н | – Протоверин |
| Н | Н | ОН | Н | ОН | – Верацевін |
| Н | Н | Н | ОН | Н | – Цигаденін |
Алкалоїди цієї групи утворюють складні ефіри з органічними кислотами. Відомі ефіри верацевіну з оцтовою кислотою (цеванін), з ангеліковою кислотою (цевадин), ваніліновою кислотою (ванілоїлверацетин) та ін. Цевератрові алкалоїди містяться в основному в насінні сабадили (Veratrum sabadilla L. або Schoenocaulon officinale (Schl.) A.Gray, Sabadilla officinarum Brandt, Melanthiaceae).
У медицині застосовують галенові препарати з чемериці Лобеля (Veratrum lobelianum Bernh.) та вошкове насіння із сабадили як протипаразитарні засоби.
Серед похідних прегнану (С21) розрізняють три головних типи С21-псевдоалкалоїдів, які за хімічною будовою є похідними прегнану й утворюються, вірогідно, з прегненолону. Одна група (напр. холафіламін) має аміногрупу при С-3. У другого типу алкалоїдів аміногрупа наявна у складі двовуглецевого бічного ланцюга (напр. у фунтуфіламіні А). У третій групі азот входить до піролідинового циклу (конесин).

Холафіламін

Фунтуфіламін

Конесин
Поширення цих Г. обмежено представниками родів Funtumia і Holarrhena родини Apocynaceae. Становлять інтерес як субстанції для напівсинтезу стероїдних гормонів типу прогестерон.
Ботанико-фармакогностический словарь / К.Ф. Блинова, Г.Б. Гортинский и др.; Под ред. К.Ф. Блиновой, Г.П. Яковлева — М., 1990; Гудвин Т., Мерсер Э. Введение в биохимию растений. В 2 т. — М., 1986.
