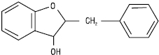
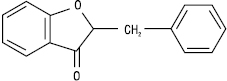
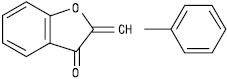
АУРАНОЇДИ — похідні 2-бензил-2,3-дигідрокумарону, біосинтетично близькі до флавоноїдів. А. класифікують на аурани (1), аурени (2), аураноли (3), ауранони (4), аурони (5) та ауренони (6).

1

2

3

4

5

6
А. у рослинному світі мало поширені, найчастіше у вигляді похідних бензилкумаранонів (ауронів), напр. сульфуретолу, ауреузидолу, маритиметолу, лептосидолу тощо, виділених з рослин родин вербоцвітних, черсакових, ранникових, квасеницевих, айстрових. Поряд із каротиноїдами, халконами та флавоноїдами А. зумовлюють жовте або жовтогаряче забарвлення квіток та плодів. У присутності ауронів і халконів жовте забарвлення квіток під дією парів амоніаку переходить у червоне, тому аурони називають ще антохлорними пігментами. Від халконів відрізняються стійкістю до мінеральних кислот.
Деякі А. є інгібіторами ферментів, напр. гіалуронідази, протеїн-тирозинкінази тощо. А. з орто-положенням гідроксильних груп виявляють антиоксидантну активність.
Литвиненко В.И. Природные флавоноиды. — Х., 1995; Cody V., Middleton E.Jr., Harborne J.B. & Beretz A. (Eds.) (1988) Progress in Clinical and Biological Research. — Vol. 280, Plant Flavonoids in Biology and Medicine II: Biochemical, Cellular and Medicinal Properties, Alan R. Liss, Inc; Cushman M., Nagarathnam D., Burg D.L. & Geahlen R.L. Synthesis and protein-tyrosine kinase inhibitory activities of flavonoid analogues // J. Med. Chem. — 1991. — 34; Kuppusamy U.R., Khod H.E. & Das N.P. Structure-activity studies of flavonoids as inhibitors of hyaluronidase // Biochem. Pharmacol. — 1990. — 40.
