АРЕКА, Areca (areca — португальська назва насіння рослини) — рід пальм родини Пальмових (Palmae), який нараховує близько 50 видів у тропіках Азії. Особливо відома А. катеху (бетелева, чи арекова, пальма) — A. catechu L. (catechy — у Східній Індії назва в’яжучого екстракту або соку). Росте у тропіках Азії, Індії, Малайзії, Бразилії, Африки, у Новій Гвінеї, Північно-Східній Австралії. Культивується в Індії, Шрі-Ланці, Танзанії, Занзибарі, Південному Китаї, на Філіппінах.
А. — тонке струнке дерево із гнучким стеблом, 12–18 (іноді до 30) м завв. Стебло з кільцевими рубцями від опалого листя. Листки великі, до 2 м завд., чергові, зібрані по 8–10 на верхівці стебла, піхвові, перисторозсічені. Квітки сидячі, дрібні, одностатеві. Зацвітає на 4–7-му році життя, утворюючи дуже розгалужене суцвіття в основі зеленого циліндру на верхівці стебла. Плоди — кістянки, однонасіннєві, завбільшки з куряче яйце з товстим волосяним мезокарпієм, які дозрівають протягом 8 міс, змінюючи забарвлення від зеленого до помаранчевого. Насіння опукло-конічне, до 3 см завд. і 2 см у діаметрі, тверде. Поверхня його сітчаста, червоно-коричнева чи інших відтінків світло-коричневого і жовтувато-сірого кольорів. Запах слабкий. Смак злегка гіркуватий, в’яжучий.
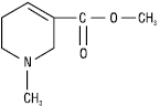
Як лікарську сировину використовують насіння А. — Semina Arecae. Основними діючими речовинами є алкалоїди: ареколін, арекаїдин, гувацин, гуваколін, також міститься танін, жирна й ефірна олія, дубильні речовини.

Ареколін
Дрібно нарізані шматочки насіння А. разом із бетелем (Pіper betle) та з додаванням гамбіру утворюють бетельну жуйку. Алкалоїди, які входять до складу бетельної жуйки, мають стимулювальну і наркотичну дію. Ареколін використовують в очній практиці для зниження внутрішньочного тиску, за дією близький до пілокарпіну: знижує АТ, розріджує ритм серця, підсилює слино- і потовиділення, звужує зіниці, викликає скорочення гладких м’язів (особливо кишечнику), зумовлює різке посилення перистальтики, має протиглистну дію; застосовують у ветеринарії. Ареколін (арколіну бромгідрат) як протиглистна речовина є предметом світової торгівлі. У східній медицині насіння використовується для лікування холери та дизентерії. Верхівкова брунька стебла — салатний овоч для приготування маринадів.
Биологический энциклопедический словарь / Гл. ред. М.С. Гиляров. — М., 1984; Муравьева Д.А. Тропические и субтропические лекарственные растения. — М., 1997; Палов М. Энциклопедия лекарственных растений. — М., 1998.
