АНТРАЦЕНПОХІДНI

АНТРАЦЕНПОХІДНI (грец. anthrax — вугілля) — група природних фенольних сполук (у більшості глікозидні форми), в основі яких лежить ядро антрацену різного ступеня окиснення та конденсації мономерних форм. Усі виділені і вивчені на сьогодні сполуки (понад 700) належать до ряду 9,10-антрахінону, за винятком галохрому, який є похідним 1,2-антрахінону.

antracenpohidni01.eps
Антрацен

antracenpohidni02.eps
9,10-Антрахінон

antracenpohidni03.eps
Галохром

Залежно від будови агліконів А. розподіляються на 3 основні підгрупи: мoномерні А. з однією молекулою антрацену; димерні сполуки з двома молекулами антрацену, зв’язаними одинарним С–С-зв’язком; конденсовані А., у яких два мономери зв’язані між собою не менш як одним одинарним С–С- і одним подвійним С–С-зв’язками. Мономерні А. мають відновлену (похідні антранолу, антрону, оксіантрону) і окиснену (похідні антрахінону) форми.

antracenpohidni04.eps
Антранол

antracenpohidni05.eps
Антрон

antracenpohidni06.eps
Оксіантрон

Більшість природних А. становлять окиснені форми — антрахінони, тому що відновлені форми А. легко окиснюються навіть киснем повітря. Співвідношення окиснених і відновлених форм А. у рослинах змінюється залежно від різних біотичних факторів, так, у холодну пору року кількість окиснених форм зменшується, а відновлених — збільшується.

Залежно від типу біосинтезу мономерних А. утворюються сполуки із замісниками в обох бензольних циклах А і С молекули антрахінону (клас емодину) або тільки в одному з них (клас алізарину). У сполук класу емодину (емодин, хризофанол, фісцион, алое-емодин, реїналь, реїн тощо) різні замісники перебувають у циклах А і С, а ОН-групи — здебільшого у С1 і С8. Вважають, що більшість А. класу емодину утворюються шляхом загину та внутрішньомолекулярної конденсації октаацетилполікетидного ланцюга. Навпаки, цикли А та В алізарину утворюються з шикімової кислоти, а цикл С — з мевалонату. Полікетометиленовий ланцюг може бути також продуктом конденсації ацетатних та малонатних фрагментів.

antracenpohidni07.eps

R=R6=OH, R2=CH3 — хризофанол

R=R6=OH, R2=CH2OH — алое-емодин

R=R6=OH, R2=COH — реїналь

R=R6=OH, R2=COOH — реїн

R=R4=R6=OH, R2=CH3 — емодин

R=R6=OH, R2=CH3, R4=ОCH3 — фісціон

R=R2=R3=R4=OH, R5=CООH,R6=CH3, R1=Glu— кармінова кислота

R=R2=R3=R4=OH, R5=CООH,R6=CH3 — кермесова кислота

R=R4=R6=OH, R5=CООH,R6= antracenpohidni13.eps— родоптилометрин

Метильний радикал у положенні С3 класу емодину та при С2 класу алізарину окиснюється до –СООН-групи через радикали –СН2ОН і –СОН.

А. класу емодину в значній кількості накопичуються в рослинах родин Rhamnaceae, Polygonaceae, Fabaceae, Liliaceae та рідше в інших родинах. Представників цього класу було виділено також із пліснявих (Aspergillus Penicillum) і вищих грибів (Trichoderma), лишайників, тварин. А. класу алізарину виділено з рослин родин Rubiaceae, Bignoniaceae, Verbenaceae та ін. Деякі комахи ряду Coccidae забарвлені антрахінонами. В основному пігменти представлені карміновою та кермесовою кислотами, які використовуються як барвники протягом багатьох століть.

Забарвлення групи австралійських криноїд (морських лілій) зумовлено також такими антрахінонами, як родоптилометрин та схожими пігментами, які мають у С4 боковий ланцюг. Ці сполуки схожі з деякими антрахіноновими метаболітами грибів.

Галохром — антрахінон, який вилучено з деяких багатощетинкових хробаків, має 1,2-антрахінонову структуру і є винятком з великого ряду 9,10-антрахінонів.

З класу алізарину найбільш поширені моно- та дигідроксіантрахінони та їх похідні, найчастіше — алізарин, ксантопурпурин, гістозарин, хінізарин, рубіадин, луцидин, мунжистин, пурпурин, псевдопурпурин та ін.

antracenpohidni08.eps

R=R1=OH; R2=R3=H — алізарин

R=R2=OH; R1=R3=H — ксантопурпурин

R=R3=H; R1=R2=ОH — гістозарин

R=R3=OH; R1=R2=H — хінізарин

R=R2=OH; R1=СН3; R3=H — рубіадин

R=R1=OH; R2=СН2ОН; R3=H — луцидин

R=R2=OH; R1=COH; R3=H — нордамноконтал

R=R2=OH; R1= COOH; R3=H — мунжистин

Димерні А. складаються як з відновлених, так і з окиснених мономерних форм. Серед димерів із відновленими моноструктурами можливі такі природні сполуки, як сенідини, виділені з різних видів касії. До складу молекули димерної сполуки можуть входити однакові мономери — симетричні димери — сенідини А і В або різні — асиметричні димери — сенідини С і Д.

antracenpohidni09.eps
Сенідини А і В

antracenpohidni10.eps
Сенідини С і Д

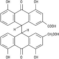
Димери з окисненими моноструктурами є також симетричні і асиметричні, напр. 2,2′-біс-алое-емодин, 5,5′-біс-емодин, 5,7′-біс-фісціон, 2,2′-хризофанол-емодин.

Конденсовані А. відрізняються від підгрупи димерів будовою, а насамперед фармакологічними властивостями. Серед цієї підгрупи такі БАС, як гіперицин, псевдогіперицин, гіперицин-2-карбонова кислота, гіперициндикарбонова кислота та інші, виділені з видів роду Hypericum, виявляють психотропну активність.

antracenpohidni12.eps
Гіперицин

antracenpohidni11.eps
Псевдогіперицин

У квіткових рослинах А. містяться як у вигляді глікозидів, так і у вільному стані. Діантрахінони у вигляді глікозидів не виявлені. Вуглеводний компонент представлений глюкозою, рамнозою, ксилозою, рідше — апіозою. Серед природних антраглікозидів переважають О-глікозиди. Рідше виявляють С-глікозиди, напр.: алоїн, алоїнозид, кармінову кислоту та змішані антраглікозиди –О– і –С-каскорозиди (крушина Пурша). Залежно від кількості вуглеводних залишків та місця їх приєднання антраглікозиди поділяються на монозиди, біозиди, триозиди, тетразиди і диглікозиди.

Антрациклінони, які виділено з культури деяких стрептоміцетів, близькі за будовою як до тетрациклінових антибіотиків, так і до заміщених антрахінонів. Вони мають вуглецевий скелет, в якому ядро антрахінону лінійно анельовано з шестичленним насиченим карбоциклом. Вони існують як у вигляді глікозидів, так і у вигляді агліконів.

Методи виявлення антрахінонів. У разі зволоження сировини, до складу якої входять гідроксіантрахінони, розчинами їдких лугів, карбонатів та аміаку з’являється червоне, фіолетово-червоне забарвлення з різними відтінками залежно від місцезнаходження вільних ОН-груп у молекулі. Реакцію з 10% розчином їдкого калію ДФ ХI рекомендує для виявлення А. в корі крушини.

Реакція Борнтрегера — класична якісна реакція на антрахінони, під час якої антрахінони з ЛРС вилучають бензолом, потім переводять у водний розчин натрію карбонату, при цьому останній забарвлюється в яскраво-червоний або фіолетово-червоний колір. Червоне забарвлення з’являється внаслідок іонізації ОН-груп молекули антрахінону.

Для якісного та кількісного визначення А. у ЛРС і препаратах використовують 0,5% спиртовий розчин магнію ацетату. Ця реакція відрізняється від реакції Борнтрегера та методу ДФ ХI більшою чутливістю та вибірковістю. α-, β-Гідроксигрупи антрахінонового циклу мають різні хімічні властивості, зумовлені утворенням внутрішньомолекулярного гідрогенового зв’язку (ВМГЗ) між α-гідроксигрупами та карбонільною групою антрахінону. Тому ОН-групи, які перебувають в α-положенні антрахінонового ядра, мають менш виражену константу іонізації та кислотні властивості порівняно зі сполуками, що містять гідроксигрупу в β-положенні. Напр. алізарин має константи кислотної дисоціації К1=3·10–6 та К2 = 3·10–10 для β- та α-гідроксигрупи відповідно.

Гідроксіантрахінони утворюють стійкі комплекси сполук різної будови з іонами металів: Al3+, Ca2+, Co2+, Mg2+ та ін.

Антрахінони, як і інші хінони, здатні до сублімації при нагріванні сухої ЛРС до температури вище 200 °С.

Для визначення природних і синтетичних А. застосовують різні види хроматографії. Для хроматографічного визначення А. в тонкому шарі сорбенту та паперової хроматографії застосовують системи розчинників, які містять толуол, гексан, насичений метанолом (аглікони), спиртоводні суміші різної концентрації з додаванням кислот (глікозиди). Використовуть висхідний, рідше — низхідний та радіальний способи хроматографування.

Для виділення А. із ЛРС та створення на їх основі фітопрепаратів найчастіше застосовують спиртоводні суміші різної концентрації, напр. 70% етанол — для виробництва сухого екстракту кори крушини, рідкого екстракту кори крушини, сиропу крушини, екстракту листя сени. При послідовній екстракції сировини різними розчинниками можна розділити суму речовин на фракції по 2–3 сполуки, які характеризуються схожими фізичними та хімічними властивостями. Так, при екстракції сировини в апараті Сосклета гексаном або бензолом у розчин переходять аглікони, в яких небагато гідроксигруп або вони етерифіковані, та сполуки з алкільними радикалами. При подальшій екстракції сировини хлороформом у розчин перейдуть вільні антрахінони, що не розчинились у гексані, а наступна обробка сировини ацетоном дасть змогу вилучити з ЛРС моноглікозиди. Біозиди, диглікозиди та інші сполуки можна екстрагувати етанолом та його сумішшю з водою. Іноді для розділення суми антрахінонів в екстрактах використовують розчини натрію гідрокарбонату і карбонату, натрію гідроксиду та лужноземельних металів. Якщо суму антрахінонів з органічного розчинника екстрагувати розчином натрію гідрокарбонату, то у водний лужний розчин перейдуть сполуки з карбоксильною групою; антрахінони з карбоксильною групою й вільними β-гідроксигрупами перейдуть у водний розчин натрію карбонату; сполуки з вільними α-гідроксигрупами не розчиняються у наведених розчинниках, що дозволяє з успіхом розділяти емодин та хризофанол або емодин та фісціон. Класичним прикладом є розділення реїну, емодину й хризофанолу. Однак слід зазначити, що лужні реагенти можуть впливати на хімічну структуру окремих антрахінонів.

Для виділення із сировини А. можна використати сублімацію. Якщо необхідно отримати лише аглікони, то глікозиди піддають кислотному гідролізу. Можна виділити суму агліконів і глікозидів, далі — глікозиди гідролізувати й отримати аглікони або провести гідроліз глікозидів, не виділяючи їх з сировини, а потім екстрагувати аглікони.

Найчастіше для виділення очищеної суми чи індивідуальних антрахінонових речовин, структура яких буде встановлюватися, застосовують колонкову хроматографію, як сорбент використовують силікагель, магнезол, поліамід. Для елюювання агліконів застосовують гексан, петролейний ефір, хлороформ, ацетон, спирт та їх суміші, для глікозидів — спиртоводні суміші різної концентрації.

Для встановлення структури антрахінонів використовують хроматографічні, інструментальні (УФ-, ІЧ-, ПМР-, мас-спектроскопія), фізичні, хімічні методи. З інструментальних методів найчастіше використовують спектроскопію в УФ- та видимій ділянках спектра. УФ-спектр антрахінону має три смуги поглинання в ділянках 246; 325 та 405 нм. Залежно від замісників у молекулі А. максимуми поглинання зміщуються у бато- або у гіпсохромну область спектра. Борна кислота утворює комплексні сполуки з о-гідроксигрупами у кислому та нейтральному середовищі, що в УФ-спектрі проявляється за батохромним зсувом довгохвильового максимуму. Перигідроксигрупи в А- і С-циклах утворюють з бороцтовим ангідридом комплекси, що виявляється за батохромним зсувом максимуму у видиму зону спектра. Спектр поглинання багатьох сполук в області вище 200 нм зумовлений переходом електронів зі зв’язаних π-орбіталей на розпушувальну молекулярну орбіталь (переходи типу σ>π*). Найбільш довгохвильова смуга з максимумом понад 400 нм має найменшу інтенсивність та складну коливальну структуру, є смугою π>π* переходу. Інші смуги належать π>π* переходам. Уведення в молекулу 9,10-антрахінону сильних електронодонорів (ОН- та NH2-груп) приводить до появи нової смуги в довгохвильовій ділянці. Протоноакцепторні розчинники викликають батохромний зсув довгохвильового максимуму внаслідок комплексів за рахунок молекулярних, водневих зв’язків з аміно- й гідроксигрупами антрахінонів.

ІЧ-спектри А. специфічні й дають значну інформацію для ідентифікації речовин. Інтенсивна смуга в зоні 1596–1578 см–1 свідчить про наявність ароматичних циклів у молекулі антрахінону. Карбонільні групи хіноїдного циклу дають одну інтенсивну смугу в зоні 1678–1653 см–1. Якщо карбонільна група хіноїдного циклу утворює внутрішньомолекулярний водневий зв’язок з α-гідроксилом, то з’являється широка смуга з центром близько 1700 см–1. Гідроксильна група у β-положенні проявляється смугою в зоні 3400–3150 см–1, що типово для гідроксигруп, здатних утворювати міжмолекулярні зв’язки.

ПМР-спектр 9,10-антрахінону підтверджує ароматичний характер циклів А і С. Він має зсув 8,32 млн–1 для α-протонів та 7,82 млн–1 — для
β-протонів (у CDCl2) і дає змогу визначити позиції замісників у похідних 9,10-антрахінону.

Перевага інструментальних методів полягає у швидкості проведення аналізу, невеликих кількостях речовини, необхідної для випробовування, повторюваності результатів, точності.

Фізичні показники (колір, агрегатний стан, розчинність тощо) мають важливе значення при ідентифікації А.

Хімічними методами попередньо досліджують положення та природу замісників у А. О-гідроксигрупи виявляють реакцією з цирконію нітратом (червоно-фіолетове забарвлення). Для встановлення структури А. використовують повне чи вибіркове ацетилювання та метилювання. Від положення ОН-груп у молекулі А. залежить вибірковий напрямок ходу зазначених реакцій. ОН-групи, що знаходяться у β-положенні, ацетилюються і метилюються значно легше, ніж α-ОН-групи. Так, діазометан в ефірі та йодистий метил в ацетоні метилюють лише ОН-групи, розміщені в β-положенні, і майже не метилюють α-гідроксигрупи. Повне метилювання α- та β-гідроксигруп антрахінонового ядра можливе при нагріванні ацетонового розчину А. з диметилсульфатом. Вибіркове ацетилювання β-гідроксигруп антрахінонового ядра можна здійснити, нагріваючи ацетоновий розчин гідроксіантрахінону з оцтовим ангідридом.

Кількісне визначення А. в рослинній сировині можна провести: гравіметричним, фотометричним, полярографічним, кислотно-основним титруванням, флюорометричним, хроматоспектрофотометричним, ВЕРХ та іншими методами. ДФ ХI застосовує колориметричний метод для кількісного визначення суми А. (кора крушини) чи лише глікозидів А. (кореневища і корені марени). Європейська (1999) та Британська (1998) фармакопеї суму антрахінонових глікозидів у корі крушини обчислюють у перерахунку на глюкофрангулін А. (використовують його питомий показник поглинання [E1m.ai=204] при 515 нм).

Похідні 9,10-антрахінону становлять самостійну широку галузь органічної хімії, яка має велике практичне значення. Вони використовуються для отримання органічних барвників, ЛП (насамперед антрациклінів), аналітичних індикаторів (алізариновий червоний С), промислових антиоксидантів та ін. Здавна тканини фарбували природними антрахіноновими барвниками, найважливіші з яких — алізарин, кермес та кошеніль.

Після з’ясування структури алізарину та розроблення методів його синтезу в 1869 р. почалося промислове виробництво барвників, а також лікарських речовин на основі антрахінону. Для введення в ядро антрахінону потрібних замісників (найчастіше ОН- або NH2-груп) спочатку за допомогою реакції електрофільного заміщення вводять сульфо- чи нітрогрупи, атом галогену, а потім замінюють їх на залишок нуклеофілу. Заміщення сульфогрупи на ОН-групу в ряді 9,10- антрахінону відбувається при дії гідроксидів лужноземельних металів, а нітрогрупу замінюють на ОН-групу або дією лугу в полярному апротонному розчині, або метоксилюванням її з подальшим гідролізом метоксильної групи. Атоми галогену в α-положенні заміщують на ОН-групу при дії лугів або, якщо вони перебувають в п-положенні до ОН-групи — в сірчаній кислоті в присутності борної кислоти. Гідроксіантрахінони вступають у реакцію гідроксиметилювання, яка значно полегшується, коли гідроксиантрахінони відновлюють у лейкосполуки. Конденсація їх з альдегідами приводить до утворення спиртів або алкілпохідних гідроксіантрахінонів. Це перетворення, що має назву реакції Маршалка, привертає значну увагу в останні роки у зв’язку з синтезом антрациклінів.

У патентній та науковій літературі також наводиться багато робіт, присвячених отриманню реїну та діацетилреїну. Хіміків-синтетиків часто приваблює алізарин як вихідна структура, на основі якої можна отримати БАР. Здійснити синтез структурних аналогів природних А. можна за реакцією Дільса — Альдера, в якій за вихідні речовини найчастіше беруть похідні фталевого ангідриду, які конденсують із різними фенолами, ароматичними кислотами чи дієновим синтезом з похідними 1,4-нафтохінону.

Природні та синтетичні А. мають широкий спектр фармакологічної активності. ЛРС, яка містить А. підгрупи емодину, використовується як проносний засіб. Таку сировину дають різні види Aloe, Rheum, Cassia, які застосовують понад 3000 років. Широко застосовують також різні види родів Rumex та Rhamus, на європейському континенті — крушину ламку, на американському — крушину Пурша. Багато А. виявляють бактерицидну дію: пригнічують ріст стрептококів і стафілококів. При цьому найбільшу активність виявляють реїн, гіперицин, емодин, алое-емодин, хризофанол та їх метоксипохідні. Для лікування пацієнтів із захворюваннями, які спричинюються вірусами Herpes simpex, Herpes virus типу 6, Cytomegalic та Herpes viride, використовують алізарин, натрієву сіль алізаринсульфокислоти, хінізарин, 2,6-дигідроксіантрахінон. Проти вірусу Herpes simpex використовують також алое-емодин та інші А. з листя Aloe vera, кореневищ Rheum raponticum, кори Rhamus frangula, листя Cassia angustifolia. Антрони хризофанолу, емодину, фісціону та гіперицин ефективні у лікуванні при різних формах герпесу, псоріазу, екзем та інших інфекцій. Емодин, фісціон та інші А. входять до складу запатентованих фармацевтичних препаратів для лікування пацієнтів із вірусними інфекціями, в т.ч. гепатитом, герпесом і мононуклеозом. А. є важливими засобами в боротьбі з грибковими хворобами. Антимікотичну дію зумовлює природний препарат Хризаробін і його синтетичні аналоги, які містять відновлені сумарні антрахінони, а також антралін (дитранол), цирколін. Гіперицин проявляє сильну фотодинамічну дію і спричинює захворювання світлошерстних тварин. Серед А. підгрупи алізарину високу протигрибкову активність виявляє алізарин-1-метиловий ефір. Запатентований препарат для лікування пацієнтів із захворюваннями шкіри, викликаними грибами родів Trichophyton, Microsporum, а також Stafilococcus aureus, Pseudomonos aeruginosa та іншими, отриманий із підземних органів Rumex acefosa та стручків і насіння Cassia torosa. Екстракт із кори Rhamnus frangula виявляє протигрибкову активність щодо Aspergilus fumigatus та Penicillium chigitatum. Антрахінони класу алізарину застосовуються як нефролітичні засоби, здатні розщеплювати ниркові конкременти (фосфатні, оксалатні, уратні та ін.) і полегшувати виведення дрібних конкрементів та піску. Деякі автори пояснюють цю дію здатністю гідроксіантрахінонів утворювати міцні хелати з іонами Ca2+ та Mg2+, які містяться в конкрементах. Гідроксіантрахінони, які утворюють розчинні у воді хелати, можуть застосовуватися для лікування пацієнтів із нирковокам’яною хворобою, напр. реїн у концентрації 20 мг/л в сечі розчиняє приблизно 25% ниркових каменів розміром до 6 мм у діаметрі протягом 3 міс. З метою профілактики сечокам’яної хвороби німецькі вчені запропонували інгібітор кристалізації, що містить стандартизований за руберитриновою кислотою етанольний екстракт марени красильної. Деякі антрахінонові сполуки, особливо продукти біосинтезу нижчих грибів, інгібують синтез ДНК і розмноження клітин лейкозу та саркоми. Емодин та хризофанол виявляють протипухлинну, алое-емодин — протилейкемічну активності. Емодин пригнічує ріст меланоми на 75% і гальмує ріст раку молочної залози, реїн пригнічує ріст асцитного раку Ерліха та меланоми.

Практична медицина використовує протипухлинні антибіотичні речовини — антрацикліни, які продукуються мікроорганізмами Actinomyces coerulеcorubidus (руброміцину гідрохлорид, доксорубіцину гідрохлорид) і Actinomadura carminata (карміноміцину гідрохлорид). Деякі А. активно впливають на роботу багатьох ферментів (ензимів). Антидепресивну дію в дозах 1–500 мг/добу виявляє норсалоринова кислота, яка пригнічує моноамінооксидазу. На сьогодні доведено, що гіперицин та деякі його структурні аналоги зумовлюють антидепресивну дію. Існує низка препаратів на основі екстрактів (вміст гіперицину 0,1–0,5%) із трави звіробою — Деприм (Словенія) тощо, які виявляють антидепресивну дію. Природні А. та їх синтетичні аналоги виявляють виражену протизапальну дію. Препарати, що містять відновлені гідроксіантрахінони (Хризаробін, Антралін, Дитранол, Цигнолін та ін.), виявляють протизапальну активність на рівні стероїдних препаратів.

Бриттон Г. Биохимия природных пигментов. — М., 1986; Горелик М.В. Химия антрахинонов и их производных. — М., 1983; Маковецька О.Ю., Бойко І.І., Капінус Є.І., Лебеда А.П. Речовини фотодинамічної дії з рослин роду звіробій та їх антивірусна активність // Фармац. журн. — 1997. — № 3; Музычкина Р.А. Природные антрахиноны, биологические свойства и физико-химические характеристики. — М., 1998; Thomson R.H. Naturally occuring quinones. III. Resent advances. — London–New-York, 1996.


Інші статті автора