АМПІЦИЛІНУ ТРИГІДРАТ

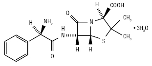
Ампіциліну тригідрат (Ampicillinum trihydricum), (2S,5R,6R)-6-[(R)-2-аміно-2-фенілацетамідо]-3,3-диметил-7-оксо-4-тіа-1-азабіцикло [3.2.0]гептан-2-карбонова кислота.

C16H19N3O4S,3H2O                                        Мол. м. 403,5

Ampicillinum trihydricum.ai

АФІ напівсинтетичного походження. Білий кристалічний порошок, малорозчинний у воді, практично не розчинний у спирті, в ефірі, жирних оліях. Розчинний у розбавлених кислотах і лугах. [α]D20 = від 280° до 305° (0,25% водний розчин). УФ-спектр; λmax=268 нм (A1m.ai=5,2), λmax=261 нм (A1m.ai=7,5), λmax=256 нм (A1m.ai=8,1) в 0,1 М розчині кислоти хлористоводневій, λmax= 320 нм (A1m.ai=4,0), λmax=268 нм (A1m.ai=7,8), λmax=261 нм (A1m.ai=7,9) в 0,1 М розчині натрію гідроксиду. Зберігають у добре закупореній тарі при температурі не вище 30 °С.

Ідентифікують за ІЧ-спектром поглинання субстанції; методом ТШХ; при нагріванні субстанції з розчином формальдегіду в кислоті сірчаній концентрованій утворюється темно-жовте забарвлення. Кількісно визначають методом рідинної хроматографії.

Фармакологічна група. J01CA01 — антибіотики групи пеніцилінів.

Фармакологічні ефекти. Інгібує біосинтез компонентів клітинної стінки мікроорганізмів за рахунок необоротної інактивації ферменту транспептидази, руйнується пеніциліназою. Забезпечує високу ефективність до широкого кола грампозитивних та грамнегативних мікроорганізмів.

Застосування. Інфекції, викликані чутливими мікроорганізмами: при ангіні, пневмонії, менінгіті, скарлатині, бешисі, ранових інфекціях, гонореї, гнійно-запальних захворюваннях в акушерсько-гінекологічній, урологічній практиці, спірохетозі (поворотному тифі, сифілісі, лептоспірозі), сибірці, правцеві, газовій гангрені, дифтерії (див. Антибіотики).

Компендиум 2015 — лекарственные препараты / Под ред. В.Н. Коваленко. — К., 2015; От субстанции к лекарству / Под ред. В.П. Черных. — Х., 2005; Clarke’s isolation and identification of drugs / Ed. A.C. Moffat. — London, 1986; European Pharmacopoeia 5; The Merk index an Encyclopedia of chemicals, drugs and biological. 13 Ed., A, 2001.


Інші статті автора