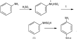
АМІНОБЕНЗОЛСУЛЬФОКИСЛОТИ (анілінсульфокислоти) — органічні сполуки з загальною формулою H2NC6H4SO3H, кристалічні речовини без чіткого значення Tпл, нерозчинні в органічних розчинниках. Із зростанням кількості сульфогруп розчинність А. у воді збільшується. Більше А. з однією сульфогрупою: орто-, мета— та пара-, відповідно ортанілова, метанілова, сульфанілова кислоти. А. існують у вигляді внутрішніх солей NH3+C6H4SO3–, тому не виявляють амфотерних властивостей і не утворюють солей з мінеральними кислотами. А. — сильніші за карбонові кислоти: рКа (25 °С) 2,48; 3,73; 3,24 для о-, м-, п-А. відповідно. У лужному середовищі відбувається ацилювання, алкілування та діазотування за вільною аміногрупою. У промисловості м-А. (метанілову кислоту) синтезують з нітробензену шляхом сульфування олеумом з подальшим відновленням нітрогрупи; о-А. (ортанілову кислоту) — відновленням о-нітробензолсульфокислоти. Подальше сульфування зумовлює утворення дисульфопохідних А. Найбільше практичне значення має п-А. (сульфанілова кислота), яку синтезують при нагріванні анілінсульфату в середовищі поліхлорбензену:

Синтез відбувається через стадію інтрамолекулярного перегрупування N-фенілсульфамінової кислоти (І). Одержана сульфанілова кислота під дією олеуму далі перетворюється на 2,4-ди- та 2,4,6-трисульфопохідні.
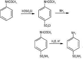
Для фармації практичне значення має амід сульфанілової кислоти (білий стрептоцид), який добувають сульфохлоруванням ацетаніліду, обробкою отриманого хлорангідриду аміаком з наступним кислотним гідролізом:

п-Амінобензолсульфамід, на відміну від кислоти, — амфотерна сполука — родоначальник групи ЛЗ з антибактеріальною активністю. Серед майже 10 тис. похідних А. у медичній практиці застосовують 40 сульфаніламідних препаратів (альбуцид, сульгін, уросульфан, норсульфазол, сульфадимезин та ін.). м-А. і п-А. використовують у виробництві азобарвників; п-А. — для синтезу індикатора метилового оранжевого, який застосовують при ацидиметричному титруванні та визначенні кислотності; як реактив у гістохімії (для визначення білірубіну, блокування альдегідів), а також як оптичний відбілювач.
Машковский М.Д. Лекарственные средства. В 2 т. — М., 2001; Общая органическая химия. В 12 т. / Под общ. ред. Д. Бартона и У.Д. Оллиса. — М., 1983. — Т. 5; Черных В.П., Зименковский Б.С., Гриценко И.С. Органическая химия / Под общ. ред. В.П. Черных. — 2-е изд. — Х., 2007.
