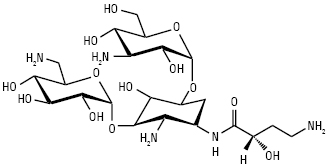
Амікацин (Amicacinum), 6-О-(3-аміно-3-деоксі-A-D-глюкопіранозил)-4-О-(6-аміно-6-деокси-А-D-глюкопіранозил)-N’-[(2S)-4-аміно-2-гідроксибутаноїл]-2-деокси-D-стрептамін.
С22Н43N5О13 Мол. м. 585,6

АФІ природного та синтетичного походження. Білий або майже білий порошок, малорозчинний у воді, помірнорозчинний в метанолі, практично не розчинний в ацетоні і спирті. [α]D20 = від +97° до +105° (2% водний розчин). Зберігають у захищеному від світла місці.
Ідентифікують за ІЧ-спектром поглинання субстанції; методом ТШХ. Кількісно визначають методом рідинної хроматографії.
Фармакологічна група. J01GB06; D06AX12 — антибіотики групи аміноглікозидів.
Фармакологічні ефекти. Порушує синтез білків на рівні рибосом. Ефективний по відношенню до грамнегативних аеробних мікроорганізмів: Pseudomonas aeruginosa, Esherichia coli, Shigella spp., Salmonella spp., Klebsiella spp., Enterobacter spp., Serratia spp., Providencia stuartii, а також деяких грампозитивних мікроорганізмів, зокрема Staphylococcus spp., стійких до пеніциліну, метициліну, деяких цефалоспоринів.
Застосування. Для лікування гнійно-септичних захворювань (сепсису, менінгіту, перитоніту, септичного ендокардиту), інфекційно-запальних захворювань органів дихання (пневмонії, абсцесу легенів), інфекційних опіків, інфекцій нирок і сечовивідних шляхів (див. Антибіотики).
Компендиум 2015 — лекарственные препараты / Под ред. В.Н. Коваленко. — К., 2015; От субстанции к лекарству / Под ред. В.П. Черных. — Х., 2005; Clarke’s isolation and identification of drugs / Ed. A.C. Moffat. — London, 1986; European Pharmacopoeia 5; The Merk index an Encyclopedia of chemicals, drugs and biological. 13 Ed., A, 2001.
