АКРИДИН (дибензо[b,e]піридин) — світло-жовта кристалічна речовина зі специфічним подразливим запахом (лат. acеr — їдкий); мол. м. 179,22, Tпл 111 °С, Tкип 346 °С; добрерозчинний в етанолі, діетиловому етері та бензені, малорозчинний у воді (0,00018 моль/л при 20 °С); розчини мають синю флуоресценцію, розчини солей — зелену; легко сублімується.
У невеликій кількості міститься в кам’яновугільній смолі.
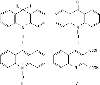
А. є ароматичною сполукою; за участю неподіленої пари електронів атому нітрогену виявляє слабкі основні властивості (рКа 5,6 при 20 °С, у воді), із сильними мінеральними кислотами та алкілгалогенідами утворює солі. Хімічно стійкий, не змінюється при нагріванні до 280 °С з концентрованою H2SO4 чи KOH. Легко відновлюється до акридану (9, 10-дигідроакридин) (І) амальгамою Na, Zn, в HCl та на нікелі Ренея.


Під дією K2Cr2O7 в оцтовокислому середовищі окиснюється в акридон-9 (ІІ), у присутності органічних пероксикислот утворює N-оксид (ІІІ), при окисненні KMnO4 в лужному середовищі та при озонолізі в спирті перетворюється у 2,3-хіноліндикарбонову кислоту (акридинова кислота) (IV).
У реакції електрофільного заміщення А. вступає важко. Реакції нуклеофільного заміщення для А. проходять за положенням 9.
А. отримують за реакцією Бернтсена конденсацією дифеніламіну з мурашиною кислотою:

та циклізацією N-фенілантранілової кислоти:

Похідні А. широко застосовують у медицині: риванол виявляє антисептичну дію (зовнішньо у вигляді розчинів), при шкірних захворюваннях (присипки, мазі, пасти); акрихін — при малярійній комі (4% розчин), як антигельмінтний ЛП (внутрішньо), при лікуванні лямбліозу, шкірного лейшманіозу, при цестодозі, ревматичному артриті.
Похідні А. та 9-фенілакридину застосовують при фарбуванні тканини, шкіри, паперу та деревини в жовті та коричневі відтінки.
А. — інгібітор корозії металів, реагент для гравіметричного визначення озону.
А. викликає подразнення шкіри та дихальних шляхів.
Джилкрист Т. Химия гетероциклических соединений. — М., 1996; Иванов В.М. Гетероциклические азотсодержащие соединения. — М., 1982; Пожарский А.Ф. Теоретические основы химии гетероциклов. — М., 1985.
