АКОНІТ (борець) — Aconіtum L. (грец. akonіton — назва отруйної рослини) — рід трав’янистих рослин родини жовтецевих (Ranunculaceae); рос. назви: аконит, борец; нар. назви: болиголов, цар-зілля, цар-трава, вовкобой, вовчий корінь, зозулині черевички. Відомо 300 видів А., з них у СНД близько 100 видів, в Україні — 19. Дикий А. росте в Азіатському регіоні (Китай, Далекий Схід і Алтай, Казахстан), культивується — в Європі, Азії та Північній Америці.
А. — багаторічні кореневищні або бульбовидні рослини з прямостоячими, рідше — звивистими або кучерявими стеблами завв. 50–150 см (у кучерявих — до 400 см). Кореневища довгасто-яйцеподібної форми завд. до 5 см і завш. 2 см. Листки пальчасто-роздільні, розсічені або лопатеві, темно-зелені, розташовані в черговому порядку. Квітки неправильної форми сині, фіолетові, рідше білі, жовті або строкаті. Вінчикоподібна чашечка складається з 5 чашолистків, верхній має вид шолома, під його прикриттям знаходяться 2 пелюстки, які перетворилися на нектарники. Квітки зібрані у просте або гіллясте волотеподібне суцвіття завд. до 50 см. Плід — багатонасінна листівка з прямими або дугоподібними зубцями. Насіння дрібне, тригранне, із зморшкувато-хвилястою «спинкою», сірого, коричневого й чорного кольору. Цвіте з липня до кінця вересня. А. росте на вологих місцях уздовж берегів рік і на узбіччях доріг, на багатих перегноєм ґрунтах, гірських луках. Більшість видів А. — отруйні рослини.
Для одержання медичного препарату Алапинін, який виявляє сильну протиаритмічну дію, використовують кореневища з коренями А. північного і траву А. білоустого.
А. північний (А. звичайний, А. високий, А. північний, А. великий) — Aconіtum septentrіonale Koelle або Aconіtum lycoctonum L або A. exelsum Reіchb. Розповсюджений у Європі, Сибіру, Північно-Східному Казахстані і Північній Монголії. У підземних частинах А.п. містяться: транс-аконітинова кислота; алкалоїди (2,4–4,9%): лапаконітин — 0,38%, мезаконітин, ексцельзин, аксин, аксинатин, циноктотин, септентріоналін, деацетилапаконітин; проазулени; кумарини і флавоноїди. У стеблах — алкалоїди. У листках — аскорбінова кислота (вітамін С). У квітках містяться алкалоїди (0,21–3,5%), а в насінні — жирна олія (29–34%).
А. білоустий — Aconіtum leucostomum Worosch. Росте у горах Східного Сибіру та Середньої Азії. У підземній частині А.б. містяться алкалоїди (0,8–4,9%): мезаконітин, аксин, акінатин, лапаконітин, лапаконідин, ексцельзин; сапоніни, дубильні речовини, кумарини і флавоноїди. У стеблах і листках рослини вміст алкалоїдів 0,3–1,17% і 0,62–3,99% відповідно. У квітках сумарна кількість алкалоїдів становить 1,38–4,56%.

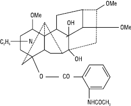
Лапаконітин
Алкалоїди, що містяться у сировині А. білоустого та А. північного, чинять антиаритмічну дію. Препарат Алапінін має антиаритмічну дію. Він знижує швидкість проведення імпульсів по передсердях і системі Гіса —Пуркіньє, не викликаючи артеріальної гіпотензії і не спричиняючи негативної інотропної дії. Препарат призначають при надшлуночковій і шлуночковій екстрасистолії, пароксизмах, мерехтінні та тріпотінні передсердя, а також при аритмії на фоні інфаркту міокарда.
У ДФ СРСР VІІІ були включені 2 види А.: А. каракольський — A. karakolіcum Rapaіcs і А. джунгарський — A. soongarіcum Stapf, які ростуть у вологих гірських лісах Тянь-Шаню. Як лікарську сировину використовують бульби А. — Tubera Aconіtі та траву — Herba Aconіtі.
Усі частини цих рослин містять алкалоїди: аконітин і атизин. Бульби містять: 0,18–4% суми алкалоїдів групи аконітину — аконітин, мезоаконітин, гіпоаконітин, гепааконітин, сасааконітин, бензоілаконін; неопелін, напелін, спартеїн, ефедрин, даукостерин, мезоінозидол — 0,05%, транс-аконітинова кислота; цукри — 9%; бензойна, фумарова, лимонна кислоти; жирні кислоти — міристинова, пальмітинова, стеаринова, олеїнова і лінолева; флавони, сапоніни, смоли, крохмаль, кумарини — 0,3%. Листки і стебла, крім того, містять інозит, дубильні речовини, аскорбінову кислоту, флавоноїди, мікроелементи (>20 видів). Трава і листя А. містять алкалоїди, вітамін С.

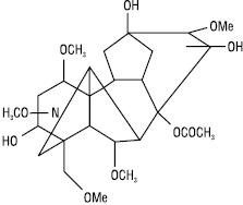
Аконітин

Атизин
Ці види використовують у народній медицині як протиракову ЛРС. З трави і коренебульб цих видів А. випускали настойку як болезаспокійливий препарат при невралгії трійчастого нерва, ревматичному болю в м’язах і суглобах. Настойка із свіжої трави входить до складу препарату Акофіт.
У європейських країнах і США найбільш відомий А. аптечний (А. справжній, А. отруйний) — A. napellus L., розповсюджений від Західної Європи до Гімалаїв, широко культивується. Хімічний склад бульбовидних коренів А. аптечного представлений алкалоїдами (до 3,4%), в основному групи дитерпеноїдів (аконітин 0,6%), зонгірином; мезаконітином, гіпаконітином, неопеліном, напеліном і неоліном; органічними кислотами, крохмалем і кумаринами (до 0,3%). Сировина включена в БТФ (для зовнішнього застосування при невралгіях і ревматизмі).
У Японії основним лікарським видом є А. японський — A. japonіcum Thunb. Рослина містить алколоїд хігенаміну, що чинить кардіотонічну дію, а також ізохіноліновий алкалоїд норкоклаурин І. Активність останнього виявляється в дозах, порівнянних з відповідними глікозидами видів Dіgіtalіs. Цей вид — важлива ЛРС у східній медицині і має клінічне застосування.
У китайській медицині відомий А. Кармишеля — A. carmіchaelіі Debeaux, який також містить алкалоїд кардіотонічної дії (препарат Коринеїну хлорид — допаміну метахлорид).
Здавна використовують при багатьох захворюваннях А. Фішера — A. fіscherі Reіchb., який росте в Китаї, на Камчатці, Сахаліні та Північному Сході Примор’я. У бульбокоренях містяться такі алкалоїди: аконітин, мезаконітин, гіпаконітин, ейзаконітин, япаконітин. Корені використовують як наркотичну, болезаспокійливу і спазмолітичну ЛРС. Зовнішньо призначають при лускатому лишаї, дерматозах, діатезі.
В Індійську фармакопею включений А. відкритоквітковий — A. chasmanthum Stapf ex Holmes. Головним компонентом є алкалоїд індаконітин. З інших видів аконіту, сировина яких надходить з Індії та Пакистану, відомі такі, як А. великокореневищний — A. deіnorrhіzum Stapf, А. Бальфора — A. balfourіі Stapf і А. різнолистий — A. heterophyllum Wall. Усі ці види містять отруйні алкалоїди, подібні аконітину (псевдоаконітин, атизин).
У гомеопатії застосовують такі види: А. аптечний, А. алтайський — A. altaіcum Steіnb., А. байкальський — A. baіcalense Turcz. ex Rapaіcs, А. білоустий — A. leucostomum Worosch.
Алкалоидный состав некоторых видов Aconitum L. флоры Сибири / Н.Н. Погодаева, А.Л. Верещагин, А.Г. Горшков и др. // Раст. ресурсы. — 2000. — Т. 36, вып. 2; Растительные ресурсы СССР. Цветковые растения, их химический состав, использование. Семейства Magnoliaceae — Limoniaceae. — Л., 1985; Цицилин А.Н. Ресурсная характеристика нового лекарственного растения борца северного — Aconitum septentrionale Koelle в Среднем Поволжье и на Южном Урале. — Х., 1992; РЛС — Энциклопедия лекарств. — М., 2000.
