АЗЕТИДИН (триметиленімін) — безбарвна рідина з аміачним запахом; мол. м. 57,11; Ткип 62 °С/730 мм рт. ст.; d420 0,8436; nD20 1,4229), змішується з водою та спиртами у будь-яких співвідношеннях.

Для А. характерні реакції з розкриттям циклу під дією нуклеофілів (аміаку, амінів, галогеноводнів, води); реакції полімеризації також відбуваються з розкриттям циклу. Наявність неподіленої пари електронів на атомі азоту надає А. основних властивостей (рКа 11,29 при 25 °С); з кислотами він утворює солі азетидинію (хлориди, гексахлорплатинати, пікрати та ін.); подібно до вторинних амінів А. алкілується, ацилюється, нітрозується за атомом нітрогену. А. добувають циклізацією γ-галогенпропіламіну, 3-амінопропанолу або триметилендіаміну:


Серед похідних А. важливе значення має карбонільна похідна — 2-азетидинон (β-лактам, пропанлактам-3) — внутрішній амід β-aмінопропіонової кислоти. Азетидинон-2 добувають дегідратацією (циклізацією) β-амінокарбонових кислот:

та реакцією циклоприєднання кетенів до азетинів:

β-Лактамне кільце нестійке і легко розкривається при дії водних розчинів кислот або лугів з утворенням вихідних амінокарбонових кислот:

Реакція розкриття циклу швидше відбувається у присутності лугів.
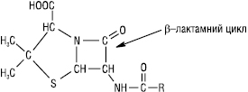
Азетидинон-2 входить до складу антибіотиків групи пеніциліну і цефалоспорину. Загальна формула пеніцилінів:

Черних В.П. Зіменковський Б.С., Гриценко І.С. Органічна хімія / За заг. ред. В.П. Черних. — Х., 2008; Черных В.П., Зименковский Б.С. Гетероциклические соединения. Трех-, четырех-, пятичленные гетероциклы с одним гетероатомом. — К., 1989.
