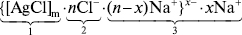
АДСОРБЦІЙНІ ІНДИКАТОРИ — індикатори методів осаджувального титрування: аргентометрії (метод Фаянса–Ходакова), меркурометрії. А.і. змінюють забарвлення через їх адсорбцію на поверхні осаду після точки еквівалентності внаслідок зміни знаку її заряду. Напр. у процесі титрування розчину NaCl стандартним розчином AgNO3 утворюються міцели AgCl. До точки еквівалентності міцели заряджені негативно:

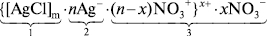
через те, що їх ядро (1) адсорбує Cl–-іони (2), які знаходяться в надлишку, при цьому шар протиіонів (3) складається з катіонів натрію. Після досягнення точки еквівалентності у надлишку знаходяться катіони Ag+ і знак заряду міцели змінюється на позитивний:
.
А.і. — слабкі органічні кислоти, забарвлені аніони яких заміщують NO3–-іони у шарі 3, адсорбуються поверхнею, що приводить до різкої зміни забарвлення.
А.і. аргентометрії (флуоресцеїн, еозин, дихлорфлуоресцеїн та ін.) використовуються при визначенні хлоридів, бромідів, йодидів, тіоціанатів у нейтральних (флуоресцеїн) та кислих (еозин, дихлорфлуоресцеїн) розчинах. А.і. меркурометрії (дифенілкарбазид) використовуються при визначенні хлоридів, бромідів (рН <7).
А.і. використовують для визначення галогенідів лужних металів, галогенгідрогенних солей алкалоїдів, вітамінів (В1) у різних ЛП.
Основы аналитической химии. В 2 кн.; Кн. 2. Методы химического анализа / Ю.А. Золотов, Е.Н. Дорохова, В.И. Фадеева и др. — М., 2002.
