ДІОСКОРЕЯ, Dioscorea L. (Dioscorea — за ім’ям грец. лікаря Діоскорида) — рід багаторічних рослин, зазвичай ліан, родини діоскорейних (Dioscoreaceae). Відомо понад 600 видів у тропіках і субтропіках, рідко в помірних поясах. У країнах СНД росте 2 види. В медицині використовують Д. кавказьку — Dioscorea caucasica Lipsky; рос. назва: диоскорея кавказская. Д. кавказька росте в Абхазії, в Адлеровському районі Краснодарського краю на висоті 400–1000 м над рівнем моря, в розріджених дубових лісах, на узліссях і серед чагарників. У 1953 р. була почата робота з інтродукції Д. кавказької, зараз вона культивується. Поряд з Д. у фармацевтичній промисловості застосовують ще два види: Д. ніппонська (Д. багатокистева) — D. nipponica Makino = D. polystаchya Turcz. та Д. дельтоподібна — D. deltoidea Wall. Д. ніпонська росте у Приморському і Хабаровському краях. Д. дельтоподібна у дикому вигляді росте у Пакистані, перспективна для введення в культуру.
Д. кавказька — дводомна трав’яниста ліана до 4 м завд., з витким стеблом і товстим горизонтальним, розгалуженим кореневищем. Листки чергові, черешкові, в окресленні широкояйцеподібні, з серцеподібною основою, семилопатеві, з найбільшою середньою лопаттю, верхні листки — три-, п’ятилопатеві, листкові пластинки короткочерешкові. Квітки одностатеві, дводомні, зеленкуваті. Тичинкові квітки зазвичай зібрані по 3–7 у напівзонтик, утворюють прості, рідше гілчасті пазушні китиці, маточкові квітки зібрані у просту китицю. Плід — тригніздова коробочка.
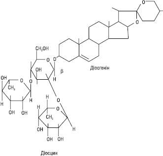
Офіцинальною сировиною є кореневища з коренями — Rhizoma сum radicibus Dioscoreae, які викопують весною, не пізніше фази цвітіння, ріжуть на шматки і сушать. Кореневища з відгалуженнями та горбиками, світло-бурі, корені тонкі до 30 см завд., смак гіркуватий, злегка терпкий.
У коренях і кореневищах Д. кавказької міститься 10–12% сапонінів. Основний компонент глікозид діосгеніну — діосцин (0,4%). У кореневищах Д. ніпонської до 8% сапонінів, до 1,2% діосцину. До діосцину близький сапонін грацилін, агліконом якого є також діосгенін, а вуглеводний ланцюг складається з двох залишків глюкози та одного залишку рамнози. У коренях містяться крохмаль та жироподібні речовини. Інші види Д. відрізняються за вмістом діосцину.

Препарати Д. кавказької у вигляді настоянки свіжого кореня (на 48% етанолі) застосовують при жовчнокам’яній хворобі, холециститах, атеросклерозі; Д. входить до складу препарату Холелетин. Для лікування атеросклерозу використовують новогаленовий препарат Поліспонін (таблетки), що являє собою очищений екстракт кореневищ Д. з вмістом суми водорозчинних стероїдних сапонінів не менше 30%. Діосгенін є одним з основних джерел синтезу гормональних препаратів.
Ботанико-фармакогностический словарь / К.Ф. Блинова, Н.А. Борисова, Г.Б. Гортинский и др.; Под ред. К.Ф. Блиновой, Г.П. Яковлева — М., 1990; Лікарські рослини / Відп. ред. А.М. Гродзинський. — К., 1992; Энциклопедический словарь лекарственных растений и продуктов животного происхождения / Под ред. Г.П. Яковлева и К.Ф. Блиновой. — СПб, 2002; Phytoestrogens: a viable option? / Russell L., Hicks G.S., Low A.K., Shepherd J.M., Brown C.A. // Am. J. Med. Sci — 2002. — № 324(4).
