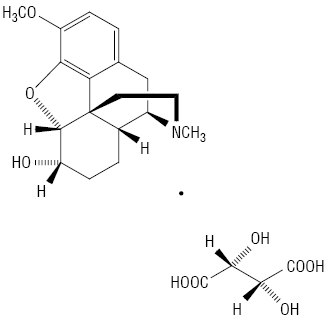
ДИГІДРОКОДЕЇНУ ТАРТРАТ (Dihydrocodeini tartars), 4,5-епокси-3-метокси-17-метилморфінан-6-ол гідроген (2R,3R)-тартрат.
С18Н23NO3⋅С4H6О6 Мол. м. 451,5

АФІ природного або синтетичного походження. Безбарвні кристали або білий кристалічний порошок без запаху або майже без запаху, легкорозчинний у воді, помірнорозчинний в етанолі, практично нерозчинний в ефірі. УФ-спектр: λmax=284 нм (
=0,72) у воді. [α]20D = від –71,5° до –73,5° (5% водний розчин). Зберігають у добре закупореній тарі, яка запобігає дії світла.
Ідентифікують за УФ-спектром водного розчину речовини, який має λmax при 284 нм (
=0,72); за реакцією з кислотою сірчаною концентрованою — утворюється пурпурне забарвлення; розчин субстанції в кислоті нітратній концентрованій повинен бути жовтого кольору, але не червоного; за реакцією з розчином заліза (ІІІ) хлориду в кислому середовищі — утворюється жовто-коричневе забарвлення, яке не повинно переходити в червоне при додаванні кислоти нітратної (відмінність від кодеїну та морфіну); субстанція дає характерні реакції на тартрати. Кількісно визначають методом ацидиметрії у неводному середовищі (кислота оцтова безводна), індикатор — кристалічний фіолетовий.
Фармакологічна група. N02AA08 — анальгетичні препарати центральної дії.
Фармакологічні ефекти. Зумовлені збудженням опіатних рецепторів. Протикашльова дія внаслідок гальмування центру кашлю. Анальгезивна дія. Здатний викликати залежність.
Застосування. При захворюваннях органів дихання (бронхіті, бронхіоліті, бронхопневмонії, плевриті), що супроводжується сухим (непродуктивним) кашлем. Використовується як знеболювальне поєднано із седативними та снотворними препаратами (див. Протикашльові препарати).
Компендиум 2015 — лекарственные препараты / Под ред. В.Н. Коваленко. — К., 2015; От субстанции к лекарству / Под ред. В.П. Черных. — Х., 2005; Clarke’s isolation and identification of drugs / Ed. A.C. Moffat. — London, 1986; European Pharmacopoeia 5; The Merk index an Encyclopedia of chemicals, drugs and biological. 13 Ed., A, 2001.
