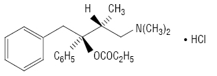
ДЕКСТРОПРОПОКСИФЕНУ ГІДРОХЛОРИД (Dextropropoxypheni hydrochloridum), (1S,2R)-1-бензил-3-диметиламіно-2-метил-1-фенілпропіл пропіонату гідрохлорид.
C22H29NO2⋅HCI Мол. м. 375,9

АФІ природного та синтетичного походження. Білий кристалічний порошок, легкорозчинний у воді, розчинний у спирті, практично нерозчинний в ефірі. Tпл — 165 °С. УФ-спектр: λmax=252 нм, λmax=257 нм, λmax=263 нм у 0,01 М розчині кислоти хлористоводневої. [α]20D = від +52° до +57° (1% водний розчин). Зберігають у добре закупореній тарі, яка запобігає дії світла.
Ідентифікують за ІЧ-спектром поглинання субстанції; УФ-спектр розчину речовини в 0,01 М розчині кислоти хлористоводневої має λmax при 252 нм, 257 нм, 263 нм; за величиною питомого оптичного обертання; субстанція дає характерні реакції на хлориди. Кількісно визначають методом ацидиметрії в неводному середовищі (оцтовий ангідрид), індикатор — малахітовий зелений.
Фармакологічна група. N02EC — анальгетичні препарати центральної дії.
Фармакологічні ефекти. Центральна анальгетизивна дія, пригнічує блювотний, дихальний та кашльовий центри, підвищує парасимпатичний тонус (міоз, брадикардія, спазм бронхів).
Застосування. Больовий синдром слабкої та помірної інтенсивності різного генезу (див. Анальгетичні препарати).
От субстанции к лекарству / Под ред. В.П. Черных. — Х., 2005; Компендиум 2015 — лекарственные препараты / Под ред. В.Н. Коваленко. — К., 2015; Clarke’s isolation and identification of drugs / Ed. A.C. Moffat. — London, 1986; European Pharmacopoeia 5; The Merk index an Encyclopedia of chemicals, drugs and biological. 13 Ed., A, 2001.
