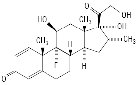
Дексаметазон (Dexamethasonum), 9-фтор-11β,17,21-тригідрокси-16α-метилпрегна-1,4-діен-3,20-діон.
С22Н29FО5 Мол. м. 392,5

АФІ природного та синтетичного походження. Білий кристалічний порошок, іноді з жовтуватим відтінком, без запаху, практично нерозчинний у воді, дуже мало або малорозчинний у більшості органічних розчинників. Tпл близько 255 °С з розкладанням. УФ-спектр: λmax=238,5 нм (
=394) в етанолі. [α]20D = від +75° до +80° (1% розчин у діоксані). Зберігають у добре закупореній тарі, яка запобігає дії світла.
Ідентифікують за ІЧ-спектром поглинання субстанції; УФ-спектр розчину речовини з фенілгідразином має λmax при 419 нм (А=0,4); методом ТШХ; субстанція після мінералізації дає характерні реакції на фториди. Кількісно визначають методом спектрофотометрії.
Фармакологічна група. Н02АВ02, D07AВ19, D10AA03, R01AD03, S01BA01, S02BA06 — гормональні препарати (глюкокортикоїди).
Фармакологічні ефекти. Протизапальний, протиалергічний, протишоковий, імунодепресивний, антитоксичний. Механізми дії пов’язані переважно з пригнічуванням фосфоліпази А2 та каскаду арахідонової кислоти, гальмуванням синтезу імуноглобулінів, сприянням експресії та підвищенню чутливості адренорецепторів.
Застосування. Аддісонова хвороба, гіпотиреоз, бронхіальна астма, астматичний статус, запальні та дегенеративні захворювання суглобів (артрити, тендовагініт, бурсит, стилоїдит, остеохондроз, остеоартроз, хвороба Бехтєрева та ін.), дерматити (контактний, атопічний, ексфоліативний, пузирчастий, себорейний), псоріаз, екзема, грибоподібний мікоз, набряк головного мозку (при пухлинах, черепно-мозковій травмі, крововиливах у мозок, нейрохірургічному втручанні, енцефаліті, менінгіті), неспецифічний виразковий коліт, гепатит, саркоїдоз, бериліоз, ревматизм, колагенози, алергічні реакції (кропив’янка, бронхоспазм, анафілактична реакція на лікарські препарати), анемії (аутоімунна, гемолітична, вроджена, гіпопластична, ідіопатична, еритробластопенія), захворювання крові (лейкози, лімфогранулематоз, лімфосаркома, лімфома, тромбоцитопенічна пурпура, сироваткова хвороба), шок (посттравматичний, анафілактичний, інфекційно-токсичний, опіковий), захворювання нирок (нефротичний синдром), діагностика адренокортикальної недостатності, гіпофізарної низкорослості (у дітей), афективних розладів (див. Гормональні препарати).
От субстанции к лекарству / Под ред. В.П. Черных. — Х., 2005; Компендиум 2015 — лекарственные препараты / Под ред. В.Н. Коваленко. — К., 2015; Лекарственные препараты Украины / Под ред. В.П. Черных, И.А. Зупанца. — Х., 2005; Clarke’s isolation and identification of drugs / Ed. A.C. Moffat. — London, 1986; European Pharmacopoeia 5; The Merk index an Encyclopedia of chemicals, drugs and biological. 13 Ed., A, 2001.
за підтримки довідника лікарських препаратів "Компендіум"
