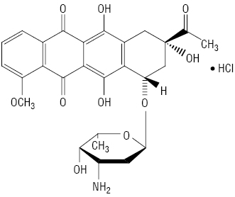
Даунорубіцину гідрохлорид (Daunorubicini hydrochloridum), (8S,10S)-8-ацетил-10-[(3-аміно-2,3,6-тридеокси-α-L-ліксо-гексапіранозил)окси]-6,8,11-тригідрокси-1метокси-7,8,9,10-тетрагідронафтацен-5,12-іону гідрохлорид.
c27h29NО10⋅HCl Мол. м. 564,0

АФІ природного та синтетичного походження. Оранжево-червоний кристалічний порошок, гігроскопічний, легкорозчинний у воді та метанолі, малорозчинний у спирті, практично нерозчинний в ацетоні. УФ-спектр: λmax=263 (
=4,3), λmax=256 (
=6,4) у метанолі, λmax=263 (
=4,5), λmax=257 (
=7,0) у воді. [α]20D = від +270° до +300° (2% водний розчин). Зберігають у добре закупореній тарі, яка запобігає дії світла.
Ідентифікують за ІЧ-спектром поглинання субстанції; субстанція дає характерні реакції на хлориди. Кількісно визначають методом рідинної хроматографії.
Фармакологічна група. L01DB02 — протипухлинні препарати.
Фармакологічні ефекти. Протипухлинний, антибактеріальний, імунодепресивний, пригнічує кровотворення.
Застосування. Гострий лейкоз (лімфобластний, мієлобластний, монобластний, промієлоцитарний) — у складі поліхіміотерапії; хоріонепітеліома матки, лімфосаркома, ретикулосаркома, нейробластома, рабдоміосаркома, пухлина Вільмса, хронічний мієлолейкоз, прогресуюча саркома Капоші у ВІЛ-інфікованих (див. Хіміотерапевтичні препарати, Пухлини, Антибіотики).
От субстанции к лекарству / Под ред. В.П. Черных. — Х., 2005; Компендиум 2015 — лекарственные препараты / Под ред. В.Н. Коваленко. — К., 2015; Clarke’s isolation and identification of drugs / Ed. A.C. Moffat. — London, 1986; European Pharmacopoeia 5; The Merk index an Encyclopedia of chemicals, drugs and biological. 13 Ed., A, 2001.
