ЕТЕРНІ ОЛІЇ (лат. Olea aetherea) — багатокомпонентні суміші летких органічних сполук, що утворюються в рослинах і зумовлюють їх запах. Хімічний склад Е.о. представлений різними органічними сполуками, серед яких вуглеводні, спирти, прості та складні естери, альдегіди, кетони, кислоти аліфатичного ряду і циклічні сполуки. Циклічні сполуки поділяються на гідроциклічні, до яких належать терпени та їх похідні, та на сполуки ароматичного ряду. Кількісно в Е.о. переважають вуглеводні, але найбільш цінною складовою є кисневмісні сполуки, особливо спирти й ефіри, які мають приємний запах.
Класифікація Е.о. й етероолійної сировини базується на будові основних цінних складових частин.
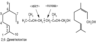
Монотерпени і монотерпеноїди утворюються з двох С5-одиниць за ізопреноїдним правилом «голова до хвоста» і класифікуються за кількістю циклів на ациклічні, моноциклічні й біциклічні.
Ациклічні монотерпени належать до типу 2,6-диметилоктану, можуть мати три, два або один подвійний зв’язок і представлені вуглеводнями (мірцен і його ізомер оцимен), спиртами (гераніол, ліналоол, цитранелол), альдегідами (цитраль, цитронелаль).

Варіанти зображення формули гераніолу
Моноциклічні монотерпени належать до типу ментану, серед них найбільш поширені лімонен, α-, β- і γ-терпінен, α-, β-феландрен та ін.

Ментан
У складі Е.о. часто відмічають кисневмісні похідні ментану: спирти (ментол, терпінеол), кетони (ментон, пулегон, карвон), окиси (цинеол) і перекиси (аскаридол).

Біциклічні монотерпени мають два конденсовані неароматичні кільця. Залежно від структури вуглеводня їх поділяють на типи туйану, карану, пінану, камфану, фенхану та ін.:

Сесквітерпени і сесквітерпеноїди є найпоширенішою групою серед відомих терпенів. Вони існують в ациклічній і циклічній (моноциклічні, біциклічні й трициклічні) формах.
Ациклічні сесквітерпени утворюються з трьох С5-одиниць за ізопреноїдним правилом «голова до хвоста». Структуру їх зображують лінійно або у вигляді незамкненого ланцюга.

Варіанти зображення молекули фарнезену
Моноциклічні сесквітерпени — це сполуки з одним незамкненим гідроароматичним кільцем з двома подвійними зв’язками, один з яких міститься в кільці, а інший — в аліфатичній частині молекули. Поширеними в природі є сполуки типів бісаболану (лимон, ромашка, імбир, види сосни), гумулану (хміль), елеману (аїр).

Біциклічні сесквітерпени мають два конденсовані вуглеводневі кільця з 2–3 подвійними зв’язками. За будовою кілець та типом їх конденсації або зв’язку сесквітерпени поділяють на типи, основними з яких є типи кадинану, евдесману і гвайану.

Сполуки типу гвайану:

Похідними азулену є гвайол, хамазулен, гвайазулен тощо, які відрізняються розташуванням замісників і подвійних зв’язків. Азулени у вільному стані в природі не зустрічаються, а утворюються в процесі перетворення їх попередників — лактонів гвайанолідів (проазуленів) при перегонці Е.о. з водяною парою або дегідруванням азуленогенів, які містяться в Е.о. Азулени — рідкі, іноді — кристалічні речовини, забарвлені в синій, фіолетовий, рідше — зелений колір. Повільно розкладаються киснем повітря, змінюючи забарвлення на коричневе. Похідні гвайану виділені з ромашки аптечної, полину гіркого, деревію, арніки, евкаліпта. Окрему групу сесквітерпеноїдів складають сесквітерпенові лактони, ізольовані переважно з рослин родини Asteraceae.
Відомими сполуками типу евдесману є алантолактон з оману високого.

Алантолактон
Сесквітерпенові лактони, які входять до складу етероолійної сировини, мають виражену протимікробну і антимікозну дію; сполуки з епоксидною групою — антипротозойну активність; з ненасиченим лактонним кільцем, ненасиченою кетогрупою або епоксидним угрупованням — цитотоксичну дію.
До ароматичних сполук, що входять до складу Е.о., належать похідні n-цимену, бензолу (бензальдегід, ванілін) і фенілпропану (анетол, евгенол тощо). Носіями приємного запаху є етери (анетол, піперонал), альдегіди (анісовий альдегід, ванілін), спирти (тимол, карвакрол).

Е.о. широко розповсюджені в природі. Більше ніж 2,5 тис. вищих рослин здатні їх накопичувати. Багаті на Е.о. рослини родин Lamiaceae, Apiaceae і Asteraceae (близько 180 родів у кожній родині), Rosaceae (58 родів). Вміст Е.о. у різних видах рослин коливається в широкому інтервалі — від слідів 0,001% до 5%, а для деяких видів, напр. зав’язях гвоздикового дерева і плодів цитрусових, — до 20%. Е.о. локалізуються в різних частинах рослини, виробляються й накопичуються в особливих екзогенних і ендогенних утвореннях. Екзогенні утворення розвиваються з епідермальної тканини; до них належать залозисті «плями», залозисті волоски й етероолійні залозки. До ендогенних утворень, що розвиваються в паренхімних тканинах, належать секреторні клітини, вмістища (схізогенні та лізогенні), секреторні канальці та ходи.
Е.о. — це прозорі, безбарвні або ледь жовтуваті рідини з приємним характерним запахом і пряним, гірким смаком. Деякі олії мають синій колір від наявності азулену (олія ромашки, деревію, полину та ін.). Відмічають зеленуваті (бергамотова); червоні (кминова), червоно-коричневі (корична) олії. Питома вага олій знаходиться в межах від 0,700 г/см3 до 1,060 г/см3. Реакція олій зазвичай нейтральна або кисла. Більшість з них оптично-активні. Вони не мають певної точки кипіння. Перегонкою при різній температурі їх можна розділити на близькі за будовою фракції: монотерпеноїди складають низькокиплячу фракцію Е.о., а сесквітерпеноїди — висококиплячу. Деякі Е.о. при охолодженні застигають у кристалічну масу, напр. м’ятна, анісова, камфорна. Е.о. добре розчиняються в спирті, змішуються в усіх пропорціях з петролейним етером, хлороформом, сірковуглецем, жирами; не розчиняються у воді; на папері не залишають масних плям, на відміну від жирних олій. Показники якості деяких ефірних олій наведено у таблиці.
Таблиця. Показники якості деяких етерних олій
| Ефірна олія та рослина — джерело її отримання | Вихід із сировини,% | dD20 | nD20 | [α]D20 | Розчинність — об’ємне співвідношення олії та етанолу відповідної концентрації | Основні компоненти | ||
| Е.о., що містять терпеноїди | ||||||||
| Аїрна (Acorus calamus) | 1–3,5 | 0,945–0,970 | 1,500–10508 | Від +7 до +30 | 1:30 (90%) | Азарон, камфора, пінени, камфен, сесквітерпени | ||
| Апельсинова (Citrus sinensis) [БФ, Orange Oil] | 0,5–0,7 | 0,842–0,848 | 1,472–1,476 | Від +94 до +99 | 1:7 (90%) | Лімонен (~90%), деканаль (0,9–3,2%) | ||
| Бергамотова зі шкірки (Citrus bergamia) | До 0,5 | 0,875–0,883 | 1,464–1,468 | Від +4 до +28 | 1:1 (90%) | Ліналілацетат (32–44%), лімонен (18–30%), ліналоол (12–15%), фурокумарин бергаптен (5–6%) | ||
| Лимонна (Citrus lemon) [ДФ IX] | До 0,6 | 0,845–0,862 | 1,471–1,478 | Від +56 до +68 | 1:10 (90%) | Лімонен (до 90%), цитраль (3–5%) | ||
| Лимонна [Limonis aetheroleum, PhEur] | 0,850–0,858 | 1,474–1,478 | Від +56 до +70 | Цитраль, бергамотин, цитроптек | ||||
| Цитронелова (Cymbopogon winterianus) [Citronellae aetheroleum, PhEur] | 1,2–2,4 | 0,889–0,906 | 1,466–1,485 | Від –9 до –18 | 1:1 (80%) | Гераніол (20–25%), цитронелаль (30–45%), цитронелол (9–15%), геранілацетат (3–8%), лімонен (1–5%), цитраль, 2-метил-2-гептен-6-ОН | ||
| Померанцева (Citrus aurantium) [Aurantii amari floris aetheroleum, PhEur] | 0,866–0,880 | 1,468–1,474 | Від +1,5 до +11,5 | Ліналоол (18–42%), лімонен (9–18%), β-пінен (7–17%), ліналілацетат (3–16%), фурокумарин бергаптен | ||||
| Трояндова (Rosa damascena) | 0,03–0,1 | 0,848–0,861 | 1,4530–1,4640 | Від –2,2 до –4,6 | У всіх співвідношеннях (90%) | Цитронелол (30–35%), гераніол (~5%), нерол, фенілетиловий спирт (40–50%) | ||
| Геранієва (Pelargonium roseum) | 0,1–0,15 | 0,884–0,900 | 1,4605–1,4690 | Від –8 до –12 | 1:(2–3) (70%) | Цитронелол (38–46%), ліналоол (10–12%), гераніол (15–18%), ментон та ізо-ментон (15–18%) | ||
| Коріандрова (Coriandrum sativum) [ДФ IX] | 0,9–1,2 | 0,864–0,877 | 1,462–1,468 | Від +9 до +12 | 1:3 (70%) | Ліналоол (65%), ліналілацетат, пінен, борнеол, терпінен, мірцен, деканаль | ||
| Лавандова (Lavandula vera) [ДФ IX] | 0,6–1,1 | 0,877–0,896 | 1,460–1,470 | Від –3 до –9 | 1:3 (70%) | Ліналілацетат (30–56%), ліналоол (10–20%), гераніол, каріофілен, лавандулол | ||
| Лавандова (Lavandula angustifolia) [Lavandulae aetheroleum, PhEur] | 0,878–0,891 | 1,455–1,466 | Від –12,5 до –7 | Змішується з 90% спиртом, етером, жирними оліями | Ліналілацетат (25–46%), ліналоол (20–45%), цинеол до 2,5%, 3-октанол до 2,5%, камфора до 1,2% | |||
| М’ятна (Mentha piperita) [ДФ X] | До 2 | 0,900–0,910 | 1,459–1,470 | Не менше –18 | 1:4 (70%) | Ментол (~50%), ментон (20–25%), ментилацетат (4–10%), цинеол (~6%) | ||
| М’ятна [Menthae piperitae aetheroleum, PhEur] | 0,900–0,916 | 1,457–1,467 | Від –10 до –30 | Ментол (30–55%), ментон (14–32%), ізоментон (1,5–10%), ментилацетат (8–10%), цинеол (3,5–14%) | ||||
| М’ятна дементолізована (Mentha arvensis var. piperascens) [БФ, Dementholised Mint Oil] | 0,889–0,900 | 1,458–1,466 | Від –22 до –29 | 1:4 (70%) | Бразильська (китайська) олія: від 35 до 55% (41–58%) вільних спиртів у перерахунку на ментол; від 3 до 10% (3–8%) етерів, у перерахунку на ментилацетат | |||
| М’ятна (Mentha spicata) [БФ, Spirmint Oil] | 0,917–0,934 | 1,484–1,491 | Від –45 до –60 | 1:1 (80%) | Не менше 55,0% карвону | |||
| Шавлієва (Salvia sclarea) | 0,1–0,13 | 0,887–0,920 | 1,455–1,470 | Від –4,5 до –30 | 1:0,5 (90%) | Ліналілацетат (до 75%), ліналоол (до 20%), цинеол, борнеол, камфора, туйон | ||
| Евкаліптова (Eucalyptus globulus) [ДФ X] | 1,6–3 | 0,910–0,930 | 1,458–1,470 | Від 0 до +10 | 1:4 (70%) | Цинеол (70–75%), пінокарвеол (до 20%), евдесмол (до 5%), бутанол, пентеналь, гексаналь (до 6%) | ||
| Евкаліптова [Eucalypti aetheroleum, PhEur] | 0,906–0,925 | 1,458–1,470 | Від 0 до +10 | Цинеол (не менше 70%) | ||||
| Кминна (Carum carvi) [БФ, Caraway Oil] | Не менше 3,5% | 0,902–0,912 | 1,485–1,492 | Від +74 до +80 | 1:8 (80%) | Вміст кетонів від 53,0 до 63% у перерахунку на карвон (вимоги АНД) | ||
| Кропова (Anethum graveolens) [БФ, Dill Oil] | 0,895–0,910 | 1,481–1,492 | Від +70 до +80 | 1:1 (90%) 1:10 (80%) |
Вміст карвону від 43,0 до 63% (вимоги АНД) | |||
| Терпентинна очищена (Pinus sylvestris) [ДФ IX] | 0,855–0,863 | 1,467–1,472 | α-Пінен (60–70), ∆3-карен (10–18), β-пінен (6–8), дипентен (4–6), камфен (2–3), терпінеол та ін. | |||||
| Терпентинна (Pinus spp.) [БФ, Terpentine Oil] | 0,855–0,868 | 1,467–1,477 | 1:7 (90%) | Залишок після випарювання — не більше 0,5% (вимоги АНД) | ||||
| Ялицева (Abies sibirica) | 0,2–3 | 0,895–0,915 | 1,4690–1,4720 | Від –37 до –46 | 1:5 (90%) | Борнілацетат (32–45%), борнеол (3–5%), пінен, мірцен, лімонен | ||
| Е.о., що містять ароматичні сполуки | ||||||||
| Анісова (Pimpinella anisum, seu Anisum vulgare) [ДФ IX ] | 2–6 | 0,979–0,991 | 1,550–1,560 | Від 0 до –2 | 1:3 (90%) | Анетол (80–90%), метилхавікол (до 10%), анісовий альдегід | ||
| Анісова, баданова (Pimpinella anisi et Illicium verum) [Anisi aetheroleum, PhEur] | 0,978–994 | 1,552–1,561 | Від +15 до +19 | транс-Анетол (84–93%), цис-анетол (менше 0,5%), анісовий альдегід (0,1–3,5%), естрагол (0,5–6%), ліналоол (0,1–1,5%) | ||||
| Фенхелева (Foeniculum vulgare) [ДФ IX] | 3–6 | 0,960–0,980 | 1,530–1,540 | Від +11 до +21 | У всіх співвідношеннях (95%) | Анетол (~60%), фенхон, лімонен, метилхавікол | ||
| Базилікова (Ocimum grаtissimum) | 0,3–0,7 | 0,995–1,042 | 1,514–1,536 | 1:1,4 (70%) | Евгенол (52–82%), цис-β-О-оцимен (10–16%), ліналоол (10–16%), кадинени (10–12%), санталени (6–8%), метилхавікол (до 6%) | |||
| Гвоздикова (Eugenia caryophyllus) | 16–19 | 1,042–1,058 | 1,530–1,538 | Від +0,5 до –2 | 1:1,2 | Евгенол (85–96%), евгенілацетат (2–3%), каріофілен | ||
| Гвоздикова [Caryophylli floris aetheroleum, PhEur] | 1,030–1,063 | 1,528–1,537 | Від 0 до –2 | Евгенол (75–88%), каріофілен (5–14%), ацетилевгенол (4–15%) | ||||
| Чебрецева (Thymus vulgaris) [Thymi aetheroleum, PhEur] | 0,915–0,935 | 1,490–1,505 | Тимол (36–55%), п-цимен (15–28%), ліналоол (4–6,5%), γ-терпінен (5–10%), карвакрол (1–4%) | |||||
| Корична (Cinnamomum verum) [Cinnamomi zeylanici aetheroleum, EurPh] | 1,030–1,059 | 1,0527–1,540 | Від –2,5 до +2,0 | Евгенол (70–85%), ліналоол (1,5–3,5%), β-каріофілен (1,5–7%), сафрол — менше 3%, цинеол — менше 1%, кумарин — менше 1% | ||||
| Корична [Cinnamomi zeylanici folii aetheroleum, EurPh] | 1,000–1,030 | 1,572–1,591 | Від –2,0 до +1,0 | транс-Коричний альдегід (55–75%), евгенол — менше 7,5%), ліналоол (1–6%), β-каріофілен (1–4%), цинеол — менше 3%, сафрол — менше 0,5%, ліналоол | ||||
| Корична (Cinnamomum cassia) [Cinnamomi cassiae aetheroleum, EurPh] | 1,052–1,070 | 1,600–1,614 | Від –1 до +1 | транс-Коричний альдегід (70–90%), транс-метил-коричний альдегід (3–15%), кумарин (1,5–4%), цинамоїлацетат (1–6%), евгенол — менше 0,5%) | ||||
| Пачулієва (Pogostemon patchuli) | 0,25–5 | 0,955–0,983 | 1,505–1,512 | Від –40 до –68 | 1:0,5 (90%) | Сесквітерпенові спирти, евгенол, бензальдегід, коричний альдегід | ||
| Чайного дерева (Malaleuca aeterfolia) [БТФ] | 0,885–0,906 | 1,475–1,482 | Від +5 до +15 | 1:2 (85%) | 1,8-Цинеол (4,5–16,5%), терпінен-4-ол (29–45%), γ-терпінен (10–28%), п-цимен (0,5–12%) | |||
Примітка: PhEur — відомості Європейської Фармакопеї; БФ — Британської Фармакопеї; БТФ — Британської трав’яної фармакопеї; ДФ ІХ та ДФ Х — Державної Фармакопеї СРСР 9-го та 10-го видання.
Одержують Е.о. перегонкою з водяною парою, екстракцією, пресуванням. Вибір того чи іншого способу залежить, перш за все, від кількості та хімічного складу олій, морфолого-анатомічних властивостей сировини і галузі застосування. Дослідження Е.о. складається з органолептичної оцінки (визначення кольору, запаху, смаку, прозорості, консистенції) та встановлення фізичних і хімічних констант. До фізичних констант належать питома вага, кут обертання, показник заломлення і розчинність у спирті. З хімічних констант основними є кислотне число, етерне число й етерне число після ацетилювання. Сучасним методом дослідження Е.о. є газова та газорідинна хроматографія.
Е.о. виявляють бактеріостатичну, антисептичну, дезінфекційну та фунгістатичну дію. Крім того, вони здатні подразнювати шкіру; входять до складу багатьох мазей, які прописують при ревматизмі, невралгії й простудних захворюваннях (напр. бальзам Красная звезда, мазі Віпросал В, Гевкамен, Доктор Мом, Піносол, Долобене гель, Фастум гель та ін.). Розчинені в жирах Е.о. при нанесенні на шкіру гальмують запалення; впливають на секрецію бронхів, збільшують або зменшують кількість мокротиння. У низьких дозах вони викликають гіперемію слизової оболонки, підвищують секреторну функцію бронхів (при інгаляції, вживанні всередину) і викликають збільшення кількості секрету, його розрідження й прискорення евакуації. Е.о. збуджують дихальний центр. Деякі з них при резорбтивному застосуванні мають слабку анальгезивну та седативну активність. Деякі етероолійні рослини виявляють сечогінну дію, що пов’язано з подразненням нирок, а їх компоненти дуже подразнюють слизову оболонку ротової порожнини і ШКТ. У низьких дозах вони посилюють слиновиділення та секрецію шлунка, поліпшують травлення. Це досягається вживанням етероолійної сировини як приправи до їжі (кориця, гвоздика, м’ята, кмин та ін.). Низка Е.о. й етероолійної сировини (чебрець, пижмо, дивина, полин протиглисний та ін.) мають антигельмінтну дію. Приємний запах, який відчувається у хвойних лісах, зумовлений Е.о. й озоном, що створює лікувальну атмосферу для хворих легень (див. Аеротерапія).
БСЭ — М., 1970. — Т. 2; Химическая энциклопедия: В 5 т. / Редкол.: Н.С. Зефиров (гл. ред.) и др. — М., 1995. — Т. 4; Maria Lis-Balchin.Aromatherapy Science: A guide for healthcare professionals. — London–Chicago, 2006.
