ЕКСТРАКЦІЯ (лат. extractio < лат. extragere — витягувати, добувати) — процес добування однієї або кількох речовин (компонентів) зі складних систем (рідких або твердих) селективним розчинником, який називається екстрагентом.
Речовини, які вилучають із сировини (рослинної, тваринної) за допомогою екстрагента (розчинника), називаються екстрактивними речовинами. Їх умовно поділяють на діючі і супутні. До діючих речовин належать алкалоїди, глікозиди, ефірні олії, вітаміни та інші речовини, від яких переважно залежить терапевтичний ефект. До супутніх речовин належать клітковина, протеїн, смоли, пектинові речовини, крохмаль та ін. Лікувальна дія екстрактивних речовин зумовлена не однією діючою речовиною сировини, а комплексом БАР, які посилюють, послаблюють або видозмінюють дію основної речовини.
Метою Е. є розділення сумішей, підвищення концентрації будь-якої речовини, звільнення розчинника від домішок або його заміна тощо. Значною перевагою Е. порівняно з іншими процесами розділення рідких сумішей є низька робоча температура, зазвичай кімнатна. Для проведення Е. використовують спеціальні апарати — екстрактори, до яких поміщають вихідну суміш та розчинник (екстрагент). У результаті Е. утворюються екстракт — розчин добутих компонентів в екстрагенті та рафінат — суміш, в якій концентрація цих компонентів буде меншою. Процес Е. можна відобразити за допомогою схеми:

Екстрагент (розчинник) обирають залежно від механізму і технологічних особливостей процесу екстрагування. Основні вимоги до екстрагенту: 1) мала розчинність у компоненті — носії вихідної суміші (у первинному розчиннику); 2) селективність, тобто здатність добувати з вихідної суміші або матеріалу тільки один компонент або групу компонентів. Для промислового використання екстрагенту необхідно, щоб він додатково мав: високе значення константи розподілу К, що дозволяє знизити витрату розчинника на одиницю маси вихідної суміші (матеріалу); високе значення коефіцієнта дифузії D для того, щоб підвищити швидкість процесу і внаслідок цього зменшити розміри екстрактора; низьку Tзамерз; антикорозійні властивості по відношенню до матеріалу апаратури; незаймистість або вузькі межі Tзайм; низьку теплоємність, високу леткість, низьку теплоту випаровування (для зниження витрат на регенерацію). При виборі екстрагентів слід також порівнювати їх густину, Tкип і Tзайм тиск насиченої пари, показник заломлення, розчинність у воді, токсичність, фармакологічну індиферентність тощо. У хімічній і фармацевтичній промисловості найчастіше застосовують такі екстрагенти, як вода, етанол, бензол, тетрахлорид вуглецю, хлороформ, трихлоретилен, ацетон, диетиловий ефір, скраплені гази тощо. При екстрагуванні з рослинної сировини для покращання умов розділення часто використовують змішані розчинники. У таблиці наведено основні фізичні характеристики деяких органічних розчинників, необхідні для розрахунків.
Таблиця. Фізичні характеристики деяких органічних розчинників
| № з/п |
Розчинник | Мол. м. | Густина ρ, кг/м3 при 20 оС |
Динамічна в’язкість η·103, Па·с при 20 оС | Поверхневий натяг σ·103, Дж/м2 при 20 оС | Діелектрична стала ε | Температура кипіння, Tкип., оС | Питома теплоємність С, кДж/кг·К при 20 0С | Питома теплота утворення пари λ, кДж/кг при Tкип. |
| 1 | Ацетон СН3СОСН3 | 58,1 | 791 | 0,322 | 23,7 | 20,7 (25 оС) | 56,2 | 2,178 | 512,3 |
| 2 | Бензол С6Н6 | 78,1 | 879 | 0,651 | 29,0 | 2,28 (20 оС) | 80,1 | 1,676 | 393,8 |
| 3 | Етанол С2Н5ОН | 40,1 | 789 | 1,19 | 22,3 | 24,3 (25 оС) | 78,3 | 2,555 | 846,4 |
| 4 | Ізопропанол (СН3)2СНОН | 60,1 | 785 | 2,39 | 21,7 | 18,3 (25 оС) | 82,4 | 2,597 | 673,6 |
| 5 | Метанол СН3ОН | 32,04 | 792 | 0,584 | 22,6 | 32,63 (25 оС) | 64,5 | 2,472 | 1111,0 |
| 6 | Тетрахлорид вуглецю ССІ4 | 153,8 | 1594 | 0,97 | 26,9 | 2,24 (20 оС) | 76,8 | 0,838 | 193,9 |
Для підвищення ефективності Е. підбирають такі умови її проведення (додавання електролітів або інших добавок, температура, тиск, рівень рН тощо), при яких зменшується вплив побічних реакцій, напр. дисоціації, асоціації тощо. При Е. з твердої сировини рослинного або тваринного походження швидкість процесу підвищують у кілька разів дією ультразвуку на суспензію, яка утворюється після додавання відповідного розчинника до подрібненої сировини. Для інтенсифікації процесу Е. в умовах хімічного та фармацевтичного виробництва широко застосовують екстрактори, дія яких базується на принципах протитечії та перемішування рідин. При промисловому розділенні Е. проводять або у каскаді апаратів типу змішувач-відстійник, або у протитечійних екстракційних колонах. Перевагою змішувача-відстійника є швидке відновлення режиму в каскаді після припинення процесу, простота експлуатації тощо. Недоліки — велика кількість механічного й пневматичного устаткування, повільність досягнення рівноваги тощо.
Згідно з другим законом термодинаміки Е. є самочинним процесом, при перебігу якого вирівнюються хімічні потенціали компонента у фазах, що контактують. Стан рівноваги характеризується термодинамічною константою розподілу
(1)
де μ20(1) і μ20(11) — стандартні хімічні потенціали компонента, який розподіляється; R — універсальна газова стала; T — температура.
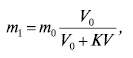
Розрахунок кількісних характеристик рідинної Е. ґрунтується на законі розподілу речовини між двома розчинниками, що не змішуються. Для обчислення матеріального балансу при одноступеневій Е. застосовують рівняння:
(2)
а при багатоступеневій екстракції
(3)
де m0 — кількість речовини, яка добувається, у вихідному розчині; V0 — об’єм вихідного розчину; V — об’єм порції екстрагенту; n — кратність Е.; m1 — кількість речовини, що добувається, яка залишилася у вихідному розчині після однократної екстракції; mn — кількість речовини, яка залишилася у вихідному розчині після n-кратного екстрагування.
Е. широко застосовують з аналітичною метою, для ізолювання лікарських речовин та отрут при проведенні хіміко-токсикологічних досліджень. У фармацевтичній практиці Е. використовують для виділення з ЛРС ефірних масел, алкалоїдів; на різних стадіях одержання та очищення антибіотиків; при виготовленні екстрактів, настойок. Сучасні методи очищення стічних вод хімічного, фармацевтичного та парфумерно-косметичного виробництва також включають стадію Е. Кратність Е. (n), необхідну для зниження вмісту шкідливих для навколишнього середовища речовин до ГДК, розраховують за рівнянням (3).
Аксельруд Г.А., Лысянский В.М. Экстрагирование (система твердое тело–жидкость). — Л., 1974; Коренман И.М. Экстракция в анализе органических веществ. — М., 1977; Красовский И.В., Вайль Е.И., Безуглый В.Д. Физическая и коллоидная химия. — К., 1983; Краткий справочник физико-химических величин / Под ред. А.А. Равделя и А.М. Пономаревой. — СПб., 1998; Муравйов И.А. Технология лекарств. — М., 1980; Аптечна технологія ліків / За ред. Г.П. Півненка. — К., 1962; Основы жидкостной экстракции / Под ред. Г.А. Ягодина. — М., 1981; Плановский А.Н., Николаев П.И. Процессы и аппараты химической и нефтехимической технологии. — М., 1987; Романков П.Г., Курочкина М.И. Экстрагирование из твердых материалов. — Л., 1983; Стромберг А.Г., Семченко Д.П. Физическая химия / Под ред. А.Г. Стромберга. — М., 2001; Фармацевтичні та медико-біологічні аспекти ліків / І.М. Перцев, О.Х. Пімінов, М.М. Слободянюк та ін.; за ред. І.М. Перцева. — Вінниця, 2007; Фізична і колоїдна хімія / В.І. Кабачний, Л.К. Осіпенко, Л.Д. Грицан та ін. — Х., 1999.
