ЕКДИСТЕРОЇДИ (грец. exdisis — линяння) — гормони линяння і метаморфозу. Вперше виявлені у комах. З рослин вони були виділені Н.К. Абубакіровим та співавторами в 1966 р. Е. поділяють на зооекдизони (виділені з тварин) та фітоекдизони (виділені з рослин). Першим Е., виділеним у кристалічному стані, був α-екдистерон з лялечок шовкопряда Bombix mori. Згодом він був виявлений і виділений з рослин, його структура була встановлена у 1965 р. Характерно, що відомі фітоекдистероїди відрізняються набагато більшою структурною різноманітністю, ніж зооекдистероїди. Зоо- та фітоекдизони є похідними стероїдів. Від інших природних стероїдів відрізняються тим, що в С-17 положенні вони мають аліфатичний ланцюг з 8 атомів вуглецю і декілька гідроксигруп. Визначальні ознаки Е.: речовина повинна бути стероїдом; у положенні С-6 повинна містити кетонне угруповання; переважна більшість Е. у положеннях С-3 і С-14 має гідроксильні групи; при С-17 обов’язкова наявність бічного ланцюга, як у холестерину. Найбільш характерними елементами структури Е. є віцинальне 2-β, 3-β-діольне угруповання в кільці А, 5-β-атом водню (цис А/В зчленування), ∆7–6-сполучене кето-угруповання в кільці В, 14-α-оксигрупа між кільцями С і D та бічний ланцюг у 17-β-положенні кільця D, що завжди містить оксигрупу при С-22 і часто при С-20 і С-25. Е. виявлені у 90 видів рослин, які належать до 20 родин: папоротеподібних — Polypodiaceae, Aspidiaceae, Lycopodiaceae, Pteridiaceae, голонасінних — Сupressaceae, Pinaceae, Podocadaceae, Taxaceae, покритонасінних — представники родин Asteraceae, Liliaceae, Caryophylaceae, Lamiaceae. Вміст Е. у рослині зазвичай становить соті–десяті частки відсотка (напр. у рапонтикумі — 0,33–0,70%). Більша кількість Е. найчастіше виявляється у насінні та квітках, менша 0,3–0,7% — у траві і ще менша — у підземних органах. Офіційною лікарською сировиною, яка містить Е., є кореневище з коренями рапонтикуму (великоголовника) сафлоровидного — Rhizoma cum radicibus Rhaponticum carthamoides. На основі цієї сировини виготовляють ЛП Екдистен, який підвищує фізичну працездатність, посилює синтез білка в організмі, але не має гормоноподібних властивостей.
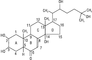
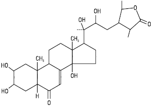
У хімічному відношенні Е. є полігідроксистероїдами. На сьогодні відомо близько 60 представників цього класу сполук з повністю або частково встановленою будовою. До найбільш поширених належать екдистерон, що відрізняється від α-екдизону додатковою гідроксигрупою при С-20. За кількістю вуглецевих атомів у молекулі Е. поділяють на 5 груп: 1) 19-С (рубростерон); 2) 21-С (постстерон); 3) найчисленніші 27-С (α-екдизон, α-екдистерон, інтегристерон А та В, інокостерон та ін.); 4) 28-С (макістерон А і В); 5) 29-С (ціастерон). Серед зооекдистероїдів виявлені тільки 27-С- і 28-С-екдизони.

Рубростерон

Постостерон

α- Екдизон

α — Екдистерон

Інтегристерон А

Інтегристерон В

Макістерон А

Ціастерон
Е. — тверді білі кристалічні речовини без запаху і специфічного смаку, нерозчинні у воді та у петролейному ефірі, розчинні в етанолі, метанолі, ацетоні, етилацетаті, погано — у хлороформі. Чисті речовини не флуоресціюють у фільтрованому УФ-світлі. Екстракцію Е. проводять за допомогою метанолу або ацетону, очищення отриманого екстракту здійснюють на оксиді алюмінію або силікагелі. Для ідентифікування цих сполук використовують загальні реакції для стероїдних речовин, а також різні види хроматографічного аналізу. На хроматограмах їх ідентифікують за допомогою розчинів фосфорно-молібденової або фосфорно-вольфрамової кислот з наступним нагріванням до 80–90 °С. Кількісне визначення цих сполук проводять спектрофотометричним методом після розділення в тонкому шарі силікагелю. Також використовують реакцію Чугаєва, в результаті якої утворюються забарвлені продукти. Можна використовувати пряме спектрометричне визначення вмісту Е. при довжині хвилі 242 нм.
Абубакиров Н.К Экдистероиды цветковых растений (Angiospermae) // Химия природ. соедин. — 1981. — № 6; Оккерт І.Л. Фармакогностичне дослідження рапонтикуму сафлоровидного та отримання речовин-стандартів. — Х., 2002; Тодоров И.Н., Митрохин Ю.И, Ефремова О.И. Действие экстрактов левзеи сафлоровидной на биосинтез белка и РНК в органах мыши // Хим.-фармац. журн. — 2000. — Т. 34. — № 9; Сыров В.Н. Фитоэкдистероиды: биологическая эффективность в организме высших животных и перспективы использования в медицине // Экспер. и клин. фармакология. — 1994. — Т. 57, № 5.
