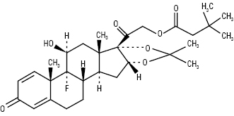
Тріамцинолону гексацетонід (Triamcinolonі hexacetonidum), 11β,21-дигідрокси-9-фтор-16α,17-(ізопропілідендіокси)прег-на-1,4-дієн-3,20-діон-21-(3,3-диметилбутаноат).
C30H41FO7 Мол. м. 532,6

АФІ синтетичного походження. Білий або майже білий кристалічний порошок, практично нерозчинний у воді, помірно розчинний в етанолі і метанолі, кут обертання площини поляризації 1% розчину в хлористому метилені від + 92° до +98°, УФ-спектр 0,95% етанольного розчину λmax = 272 нм. Зберігають у добре закупореній тарі, в захищеному від світла місці.
Ідентифікують за ІЧ-спектром поглинання субстанції; методом ТШХ на пластинах силікагелю в системі розчинників вода — метанол — етер — дихлорметан (1:8:15:77), проявляють в УФ-світлі λmax = 254 нм. Кількісно визначають вимірюванням оптичної густини розчину субстанції при λmax = 238 нм в етанолі.
Фармакологічна група. H02A B08 — гормональні препарати (глюкокортикоїди).
Фармакологічні ефекти. Протизапальна, протиалергічна, імунодепресивна, протишокова, антитоксична дія.
Застосування. Ниркова недостатність, аутоімунний тиреоїдит, гіперкальціємія при злоякісних новоутвореннях, псоріатичний артрит, подагричний і ревматоїдний артрит, анкілозивний спондиліт, бурсит, тендовагініт, посттравматичний остеоартрит, ревматизм, системний червоний вовчак, алергічний кон’юнктивіт, кератит, алергічні хвороби шкіри, бронхіальна астма; геморагічні діатези, гемолітична анемія, лейкемії, лімфоми.
Вартанян Р.С. Синтез основных лекарственных средств. — М., 2004; Машковский М.Д. Лекарственные средства. — М., 2005; От субстанции к лекарству / Под ред. В.П. Черных. — Х., 2005; Clarke’s isolation and identification of drugs / Ed. A.C. Moffat. — London, 1986; European Pharmacopoeia 5; Тhе Меrc index an Encyclopedia of chemicals, drugs and biological. — 13 Ed., 2001. — № 1.
