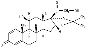
Тріамцинолону ацетонід (Triamcinoloni acetonidum) 11β,21-дигідрокси-9-фтор-16α,17-(ізопропілідендіокси)прегна-1,4-дієн-3,20-діон.
C24H31FO6 Мол. м. 434,5

АФІ синтетичного походження. Білий або майже білий кристалічний порошок, практично нерозчинний у воді, помірно розчинний в етанолі, дуже малорозчинний в етері; [α] 1% у діоксані від +100° до +107°, УФ-спектр: λmax = 238 нм 0,1% розчин в етиловому спирті. Зберігають у добре закупореній тарі, у захищеному від світла місці.
Ідентифікують за ІЧ-спектром поглинання; методом ТШХ на пластинах силікагелю в суміші розчинників вода — метанол — етер — дихлорметан (1:8:15:77), проявляють в УФ-світлі при λ=254 нм. Кількісно визначають вимірюванням оптичної густини при довжині хвилі 238 нм в етанолі.
Фармакологічна група. Н02А В08 — гормональні препарати (глюкокортикоїди).
Фармакологічні ефекти. Протизапальна, протиалергічна, імунодепресивна, протишокова і антитоксична дія.
Застосування. Надниркова недостатність, аутоімунний тиреоїдит, гіперкальціємія при злоякісних новоутвореннях, псоріатичний подагричний і ревматоїдний артрит, анкілозуючий спондиліт, бурсит, тендовагініт, посттравматичний остеоартрит, ревматизм, системний червоний вовчак, алергічний кон’юнктивіт, кератит, алергічні захворювання шкіри, бронхіальна астма, геморагічні діатези, гемолітична анемія, лейкемії, лімфоми.
Вартанян Р.С. Синтез основных лекарственных средств. — М., 2004; От субстанции к лекарству / Под ред. В.П. Черных. — Х., 2005; Clarke’s isolation and identification of drugs / Ed. A.C. Moffat. — London, 1986; European Pharmacopoeia 5; Тhе Меrc index an Encyclopedia of chemicals, drugs and biological. — 13 Ed., 2001. — № 1.
