ТИНЗАПАРИН НАТРІЙ (Tinzaparinum Natricum), Натрієва сіль низькомолекулярного гепарину.
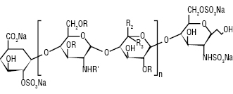
[C24H38N2O35S5]n Мол. м. від 5500 до 7500

n = 1.25, R = H або SO3Na, R′ = H або SO3Na або COCH3
R2 = H і R3 = CO2Na або R2 = CO2Na і R3 = H
АФІ тваринного походження. Одержують шляхом керованої мікробної ферментації гепарину слизової оболонки кишечнику свиней при використанні гепаринази від Flavobacterium heparinum. Білий або практично білий гігроскопічний порошок, добре розчинний у воді. УФ-спектр: λmax=231 нм 0,05% розчин у розчині 0,01 М хлороводневої кислоти. Зберігають у щільно закупореному контейнері, у захищеному від світла місці.
Ідентифікують за методом ЯМР 13С (як розчинник використовують дейтерометанол та дейтерій оксид); за УФ-спектром препарату в розчині 0,01 М хлороводневої кислоти; методом фракційної ексклюзійної хроматографії проводять визначення процентного вмісту ланцюгів з масою менше 2000 (не більше 10%), від 550 до 7500 (60–70%), більше 2000 (22–36%); проводять біохімічні тести для визначення антикоагулянтної активності субстанції in vitro стосовно фактора Xa, тромбіну та антитромбіну ІІІ (кофактора гепарину).
Фармакологічна група. В01А В10 — антитромботичні препарати.
Фармакологічні ефекти. Виявляє пряму антикоагуляційну дію. Зв’язується з антитромбіном ІІІ і сприяє відкриттю його реактивного центру, що призводить до інактивації Ха фактора згортання крові.
Застосування. Тромбоз глибоких вен, профілактика післяопераційного тромбозу глибоких вен, у т.ч. після ортопедичних втручань і гіперкоагуляції в системі екстракорпораційної циркуляції при проведенні гемодіалізу, профілактика гемодіалізу.
Машковский М.Д. Лекарственные средства: В 2 т. Т. 1. — М., 2000; От субстанции к лекарству / Под ред. В.П. Черных. — Х. 2005; Регистр лекарственных средств России. РЛС. Энциклопедия лекарств. / Гл. ред. Г.Л. Вышковский. — М., 2005; Clarke’s isolation and identification of drugs / Ed. A.C. Moffart. — London, 1986; Europian Pharmacopoeia 5; The Merk index an Encyclopedia of chemicals, drugs and biological. — 13 Ed., 2001. — № 1.
