Тетрацикліни — одна з найбільш застосовуваних груп бактеріостатичних антибіотиків широкого спектра дії. В основі хімічної структури — ядро октагідронафтацену.
Загальна формула Тетрацикліну:

Представники: тетрациклін, окситетрациклін, хлортетрациклін, доксициклін, метациклін. Тетрацикліни застосовують у вигляді основ та хлористоводневих солей. Це жовті або світло-жовті речовини, без запаху, гіркі на смак. Тетрацикліни — основи малорозчинні у воді, а солі розчиняються добре. Усі Т. важкорозчинні в спирті. Тетрацикліни розчинні в кислотах, лугах та розчинах карбонатів лужних металів за рахунок амфотерних властивостей. У водних розчинах т. існують у вигляді цвітер-іонів. Розчини природних та напівсинтетичних тетрациклінів у хлористоводневій кислоті обертають площину поляризації поляризованого світла ліворуч.
Тетрацикліни здатні до епімеризації 4-го атома вуглецю в розчинах при різних величинах рН.

Природний тетрациклін Епі-тетрациклін
Ідентифікація тетрациклінів: УФ-спектроскопія, ТШХ, реакція з сульфатною кислотою з утворенням ангідропохідних, які мають специфічне забарвлення:

Завдяки наявності фенольного гідроксилу в 10-му положенні є можливою ідентифікація тетрациклінів з використанням солей важких металів або солей діазонію:

Кольорові реакції з нітропрусидом натрію, n-диметиламінобензальдегідом, реактивом Неслера, нінгідрином та хлораміном Б зумовлені здатністю тетрациклінів до комплексоутворення та окиснення також за рахунок фенольних гідроксилів.
Кількісне визначення проводять методами ВЕРХ (ЄФ), спектрофотометрією, фотоколориметрією забарвлених продуктів із сульфатною кислотою, хлоридом заліза чи діазореактивом та біологічними методами. Гідрохлориди визначають методом неводної ацидиметрії за наявності ацетату окисної ртуті.
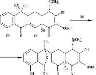
Зберігають із застереженням в сухому, захищеному від світла місці при кімнатній температурі. При зберіганні Т. може відбутися зміна їх забарвлення внаслідок розкладення з утворенням епі-тетрациклінів, ангідротетрациклінів тощо. Водні розчини хлористоводневих солей тетрациклінів при зберіганні поступово мутніють внаслідок утворення основ. Слабкокислі розчини є більш стійкими. У кислих та лужних розчинах, особливо при нагріванні, відбувається інактивація тетрациклінів.
У кислому середовищі утворюються епі-тетрацикліни та ангідротетрацикліни, в лужному — ізотетрацикліни:

Ізотетрациклін
Тетрацикліни не руйнуються під дією хлоридної кислоти та кишкової флори, однак за наявності дво- і тривалентних металів різко знижується їх активність. Здатність до хелатоутворення із солями кальцію спричиняє накопичення тетрациклінів у кістках і емалі зубів. Тетрацикліни несумісні в розчинах із пеніцилінами, новобіоцину натрієвою сіллю, хлорамфеніколом, цефалоспоринами, амінокислотами, поліміксину сульфатом, гепарином, гідрокортизоном. Сумісні з канаміцину сульфатом, лінкоміцину гідрохлоридом, ізотонічним розчином натрію хлориду, 5% розчином глюкози.
В основі механізму дії тетрациклінів — пригнічення синтезу білка на рівні рибосом, що порушує включення амінокислот до пептидних ланцюгів білків, які синтезуються. Крім того, препарати утворюють міцні комплексні сполуки (хелати) з дво- і тривалентними катіонами металів — магнію, заліза та ін. Як наслідок, відбувається усунення металів-кофакторів з ферментних систем. У високих концентраціях Тетрацикліни пригнічують процеси окисного фосфорилювання в мітохондріях і здатні порушувати синтез білка в макроорганізмі та сприяти виведенню з організму іонів натрію, деяких вітамінів (протианаболічна дія). Діють бактеріостатично, мають здатність накопичуватися у мікробних клітинах.
Спектр антимікробної дії тетрациклінів широкий і включає: стафілококи, стрептококи, лістерії, збудників чуми, бруцильозу, лептоспірозу, сибірки, туляремії, нейсерій гонореї та менінгіту, холерний вібріон, клостридії, спірохети, хламідії, рикетсії, мікоплазми, сальмонели, кишкову паличку, шигели, гемофільну паличку, актиноміцети. Тетрацикліни та доксициклін впливають на малярійний плазмодій та дизентерійну амебу.
Застосовують тетрациклінів при інфекціях дихальних шляхів, антропозоонозах (чума, бруцельоз, туляремія), сифілісі, хламідіозі, лептоспірозі, сибірці, кампілобактеріозі, рикетсіозі, гонореї, кишкових інфекціях, викликаних чутливою мікрофлорою.
Грэхам-Смит Д.Г., Аронсон Дж.К. Оксфордский справочник по клинической фармакологии и фармакотерапии / Пер. с англ. — М., 2000; ДФУ — Х., 2001; Каркищенко Н.Н. Фармакологические основы терапии. — М., 1996; Страчунский Л.С., Козлов С.Н. Антибиотики: клиническая фармакология. — Смоленск, 1994; European Pharmacopoeia. 3-rd ed. — Council of Europe, Strasbourg; 1999.
