ЛУКІВКА НАДМОРСЬКА — Drіmіa marіtіma (L.) Stearn, або Urgіnea marіtіma (L.) Baker, або Scіlla marіtіma L. (drіmіa від грец. drіmys — гострий, їдкий; urgіnea — від народної назви Benі Urgіn за місцезнаходженням в Алжирі; scіlla — лат. транслітерація; давньогрецька назва рослини луківки надморської — skіlla; лат. marіtіmus, a, um — морський, оскільки рослина росте на узбережжі Середземного моря); рос. назва: морской лук; багаторічна цибулинна рослина родини лілейних — Lіlіaceae. Рід дрімія (Drіmіa) із приєднаними до нього родами ургінея (Urgіnea), турантос (Thuranthos) і ургінеопсис (Urgіneopsіs) нараховує близько 120 видів, розповсюджених в Африці, Південній Європі та Азії, але переважно у Південній Африці. У Середземномор’ї розповсюджено 6 видів, з яких Л.н. відома з найдавніших часів як ЛР, має поширення морськими узбережжями всієї Середземноморської області. В Індії відомі 3 види. Один із них — дримія індійська (D. іndіca (Roxb.) Jessop або Urgіnea іndіca Kunth) — повсюдно росте в Індії, а також у соснових лісах Непалу та диптерокарпових лісах Бірми, у тропічній і Південній Африці. У тропічній Західній Африці види дримії ростуть у саванах і напіваридних рослинних зонах. Рослина потужна, 100–150 см завв. Цибулини дуже великі, зазвичай маса їх близько 2 кг, але не є рідкісними випадки, коли вони досягають 4–5 і навіть 7 кг. Надземних листів 10–20, вони подовжено-яйцеподібні, із загостреною верхівкою, цілокрайні, дугові, блискучі, 30–60 см завд., 5–12 см завш. Квіткове безлисте стебло висотою до 100 см закінчується великим (близько 40 см завд.) густим китицеподібним суцвіттям із квітками, що мають просту, 6-пелюсткову віночкоподібну оцвітину. Розрізняють два різновиди Л.н.: білу і червону. У білого різновиду зовнішні сухі луски жовто-бурі, внутрішні — соковиті, білі або злегка жовтуваті; квітки із зеленувато-білою оцвітиною. У червоного різновиду зовнішні луски червонясто-коричневі, внутрішні — соковиті, від пурпурового до рожевого забарвлення; квітки з рожевою оцвітиною. Л.н. надходить у продаж у вигляді сухих рогоподібних ламких шматків або порошку — жовто-білого, який одержують від Scіlla marіtіma alba, що росте в Греції, Іспанії, Португалії, на Сицилії та на Мальті, і червоного, який добувається від Scіlla marіtіma rubra, що росте в Алжирі, Тунісі, Марокко, на Півдні Франції та в Калабрії. У СНД культивується на Чорноморському узбережжі Краснодарського краю.
З лікарською метою використовують цибулини білого різновиду Л.н. — Bulbі Scіllae 10-літнього віку. Збір цибулин проводять восени, після цвітіння рослин. Стебло та листки зрізають. Сухі лускоподібні листки відкидають, а середні внутрішні м’ясисті й соковиті луски цибулини розрізають на шматочки та піддають швидкому сушінню, оскільки під час сушіння змінюється вміст первинних глікозидів.
Цибулини Л.н. містять буфадієноліди (0,55–1,8%): перш за все глюкозид сциларену А (до 0,007%), а відповідний біозид просциларен А (до 0,005%) є рамнозидом сциларену у свіжій цибулі, сциларен А (близько 0,06%), сциліфеозид (12-β-гідроксипросциларидин А), глюкосциларен А, сциларидин А, сцилін, сцилірозид, глікозиди сцилареніну та сциларозидину, просциларидин А, 3-О-β-D-глікозид сцилафеозидину, сциліглаукозид (2-глюкозид 19-оксосциларенін), 12-епісциліфеозид, глюкосциліфеозид, 12-епіглюкосциліфеозид (12-β-гідроксисциларен А), 3-О-β-D-глікозид 12-β-гідроксисцилаглюкозидину, 3-О-β-D-глікозид 12-епі-сциліфеозиду, 3-α-О-L-рамнозидо-α-L-рамнозид 12-епісциліфеозидину, 9-гідроксисцилафеозид, 9-гідроксисциліфеозидин, α-4,5-дигідроксисциларен А, 16-β-О-ацетил-сциларуброзидин, сциларуброзид. Цибулини червоного різновиду містять, крім того, похідні сцилірозидину, головними є сцилірозид та сциліруброзид. Крім глікозидів, у Л.н. є полісахариди: синістрин (до 30%), глюкоза, фруктоза, сахароза (до 20%), декстрин, крохмаль; сциліпікрин, стигмастерол, флороглюцин, флорин; фенольні кислоти: саліцилова, 3-гідрокси-4-метилбензойна, n-кумарова; лігнани; антоціани, флавоноїди: дигідрокверцетин, кверцетин, глікозиди ізорамнетину, кемпферолу, кверцетину, дигідрокверцетину, дигідроізорамнетину, дигідрокемпферолу, дигідрофлавонол, 6-С-глюкопіранозил-7-метилкемпферол, ціанідин-3-глікозид, лейкоантоціанідин; дубильні речовини (галова кислота); алкалоїди (хелідонова кислота); жирні кислоти, ефірну олію, мінеральні солі.

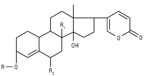
| R | R1 | R2 | |
| Н | Н | Н | Сциларенін |
| Rh-O-Glu | Н | Н | Глюкосциларен А |
| -Glu | Н | Н | Сциларен А |
| -Rh | Н | Н | Просциларидин А |
| H | ОН | O-CO-CH3 | Сцилірозидин |
| -Glu | ОН | O-CO-CH3 | Сцилірозид |
| -Glu | ОН | Н | Сциліброзид |
Глікозиди Л.н. діють подібно до препаратів наперстянки, вони добре всмоктуються при введенні у шлунок, порівняно з іншими серцевими глікозидами більше підсилюють діурез. Посилення діурезу зв’язують не лише з поліпшенням діяльності серця, але й з безпосередньою дією на паренхіму нирок. Препарати Л.н. білого різновиду (сциларен, настій, порошок цибулин) використовують також як сечогінний та відхаркувальний засоби при водянці, недостатності кровообігу ІІ–ІІІ ступеня, особливо при наявності набряків, при бронхіті. Л.н. призначається також у поєднанні з наперстянкою з метою посилення її дії й збільшення сечогінного ефекту. Протипоказаннями до застосування Л.н. є хвороби нирок, оскільки її препарати викликають подразнення ниркової паренхіми. Цибулини червоного різновиду мають ратицидну дію та застосовуються для боротьби із гризунами, а також у гомеопатії.
Большая медицинская энциклопедия: В 30 т. / Гл. ред. Б.В. Петровский.– М., 1985. — Т. 18; Жизнь растений. В 6 т. / Под ред. А.Л. Тахтаджана. — М., 1982. — Т. 6; Bufadienolides from Urginea maritima from Egypt / B. Kopp, L. Krenn, M. Draxler et al. // Phytochemistry. — 1996. — V. 42, № 2; Nuevos glicoflavonoides en los bulbos de Urginea maritima Bak. / P. Ygartua, M. Fernandez, T. Arrupe, F.A. Vega // Anal. Inst. Bot. Cavanilles. — 1978. — V. 85.
