БУРЯК (Вета L.) — рід однорічних, дворічних і багаторічних рослин родини лободових (Chenopodiaceaе). Відомо 12 видів дикого буряка, що зростають у Закавказзі, Малій Азії. В Криму зустрічається дикорослий Б. триприймочковий (B.trigyna Wetk). Родоначальником культурних форм є буряк звичайний − Beta vulgaris L (лат. beta — буряк, vulgaris — звичайний); рос. назва: свекла обыкновенная. Як овочева і ЛР Б.звичайний відомий за 1500–2000 років до н.е. в Асирії, Вавілоні, Ірані й Вірменії. В Київській Русі його почали вирощувати з Х ст. Культурний Б. звичайний — дворічна рослина. В перший роки життя утворює розетку великих черешкових листків і потовщений м’ясистий корінь різної форми (плоский, округлий, овально-видовжений, циліндричний, конічний) і забарвлення. На другий рік висаджені у ґрунт коренеплоди розвивають прямі, гіллясті, облиствлені, квітконосні стебла. Квітки двостатеві, зібрані по кілька. Плоди зростаються, утворюючи супліддя (клубочки). Культурний Б. звичайний підрозділяють на 2 підвиди: ssp. cicla — мангольд, що використовується як листовий овоч; ssp. esculenta — Б. коренеплодний. Його різновиди: Б. столовий — B. vulgaris.var conditiva, Б. цукровий — B. vulgaris var sacсharifera, Б. кормовий — B. vulgaris L. var crassa. В Україні районовано більше двох сотен сортів та гібридів Б. звичайного. Б. цукровий залишається основною технічною культурою для виробництва цукру. Лікувальне значення Б. звичайного зумовлено наявністю багатьох фізіологічно активних речовин. Коренеплоди містять цукри: сахарозу (у цукрового — до 18%), глюкозу, фруктозу — 1–1,65% (у кормового — 2,5%), а також арабінозу, мальтозу, в малих кількостях рафінозу; пектин; у листках менше цукрів (3–5%); органічні кислоти переважно містяться у листках — до 12–15% сухої речовини (щавлева, яблучна, лимонна оксимасляна, винна, молочна та інші, з яких частка щавлевої становить 24–35%), білок (1,7%). Листя в 3–4 рази багатші на всі азотні речовини, ніж коренеплоди. Б. столовий відрізняється від кормового та цукрового підвищеним вмістом цих речовин. У коренеплодах вміст нітрогену зазвичай не перевищує 2% на сиру масу. Приблизно 60–70% його входить до складу білків, найбільшу частину яких становляють альбуміни і глобуліни. У Б. цукровому міститься 54,6% амінокислот від суми азотних речовин соку коренеплодів, 89% з них — незамінна амінокислота лізин. Б. столовий містить треонін, валін, фенілаланін, ізолейцин, лейцин, глютамінову, аспарагінову кислоти, цистеїн, цистин, гістидин, серин, аланін, гліцин, пролін, тирозин, γ-аміномасляну кислоту. З інших азотовмісних речовин у значній кількісті накопичуються бетаїн і холін. Бетаїн є окисненим продуктом холіну або метильованим гліцином. У дуже малих кількостях у Б. звичайному також зустрічається бетаїн триптофану. Найбільша кількість бетаїну в листі Б. столового — 4,15%. Червоне забарвлення Б. столового зумовлене бетанінами або беталаїнами, що належать до похідних дигідроіндолу. Кількість бетаніну залежить від сорту (78–141 мг/100 г). Червоним пігментам завжди супутні жовті — бетаксантини.

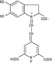
Бетанін, R = цукор
Листя Б. звичайного містить: кумарини (умбеліферон, скополетин, ізоскополетин, дафноретин); гідроксикоричні кислоти (хлорогенову, неохлорогенову, ферулову); глікозиди флавоноїдів (головним чином, кверцетину і кемпферола, рідше — лютеоліну і апігеніну), а також вільні аглікони; у коренеплодах знайдено сапоніни — глікозиди слизової і галактуронової кислот (0,075 — 0,025%). Листя Б. звичайного містить значну кількість аскорбінової кислоти (25–48 мг на 100 г). Коренеплоди цукрових і кормових сортів небагаті на неї (4–6 мг на 100 г). Вміст вітамінів у коренеплодах Б. столового (в мг на 100 г сирої маси): В1 — 0,01–0,05, В2 — 0,023–0,071, Р − 15–40, РР — 0,56–0,65, пантотенової кислоти — 1,1, фолієвої — 0,024, біотину — 0,19. Зола Б. має лужний характер. Вміст зольных елементів у Б. столовому вищий, ніж в цукровому і становить 1,0–1,3%, причому листя містить у 3–3,5 раза більше золи, ніж коренеплоди. Переважну частину золи становить К, а також Са, Р, Mg, Na, Fe, Al, S, Cl, Si та ін.
Сік Б. звичайного виявляє протизапальну, спазмолітичну, діуретичну і протисклеротичну дію, покращує обмін речовин, стимулює гемопоез, шлункову секрецію й перистальтику кишечнику, сприяє виведенню холестерину, підвищує міцність кровоносних капілярів, розслаблює спазми судин, виявляє протипухлинні властивості (бетанін), позитивно впливає на функції статевих залоз, поліпшує зір; сік столового буряка знижує АТ. З відходів цукрового виробництва виробляють препарат Ацидин-пепсин. Застосування Б. звичайного ефективне при спастичному коліті, атеросклерозі, тиреотоксикозі, аритмії, гіпертонії, захворюваннях печінки, атонії кишечнику, хронічних запорах, безсонні, у клімактеричний період. Сік з молодого бадилля стимулює утворення еритроцитів, покращує пам’ять, розширяє кровоносні судини. Сирий і квашений Б. використовують при лікуванні цинги, захворювань, пов’язаних із порушенням ліпідного обміну, при променевих ураженнях. Свіжий сік, або той, що заграв, застосовують при нежиті. Подрібнене листя Б. має протизапальну дію. При набряках, пухлинах і виразках прикладають зовнішньо подрібнену масу коренеплодів на буряковому листку. Бетаїн і бетанін Б. звичайного знижують АТ, покращують роботу печінки. Шматочки сирого коренеплоду тримають у роті при зубному болю. Не рекомендується Б. звичайний у великій кількості при оксалатурії, оскільки він містить багато щавлевої кислоти. За результатами проведених у НФаУ досліджень розроблена технологія отримання сухого екстракту з листків Б. звичайного, який має протизапальну, антиоксидантну, гепатопротекторну та помірну діуретичну дію. Полісахаридний комплекс буряка виявляє виражену анаболічну активність, яка незначною мірою поступається активності калію оротату в однакових з ним дозах.
Лікарські рослини / Відп. ред. А.М. Гродзинський. — К., 1992; Упир Л.В., Ковальов В.М. Дослідження біологічно активних речовин буряка звичайного // Фізіологічно активні речовини. — 2001. — № 2; Фітохімічне та фармакологічне дослідження буряку звичайного / Л.М. Вороніна, В.М. Ковальов, Т.С. Сахарова та ін. // Вісник фармації. − 1996. — № 3–4.
