ХІНОНИ (італ. china < іспан. quina < kina — кора) — циклічні ненасичені дикетони, карбонільні групи яких входять у систему кон’югованих подвійних зв’язків. Х. класифікують залежно від кількості циклів у молекулі та положення карбонільних груп. В основі назви лежить назва відповідного арену (бензохінони, нафтохінони, антрахінони, фенантренхінони). Напр., 1,2-бензохінон (І), 1,4-нафтохінон (ІІ), 9,10-антрахінон (ІІІ):

Х. — забарвлені кристалічні речовини з різким запахом та значною леткістю. Хімічні властивості Х. зумовлені наявністю в їх структурі кратних зв’язків і карбонільних груп. Вони легко відновлюються до двоатомних фенолів і як ненасичені сполуки приєднують бром. При опромінюванні Х. УФ-світлом за наявності альдегідів утворюються продукти С- та О-ацилювання:

При приєднанні нуклеофільних реагентів до системи подвійних зв’язків або карбонільної групи утворюються похідні гідрохінону, пірокатехіну та моно- і діоксимів. Х. — активні дієнофіли, їх часто використовують для побудови поліциклічних систем (дієновий синтез). При взаємодії Х. з хлором при низькій температурі реакція проходить зі збереженням хіноїдної структури:

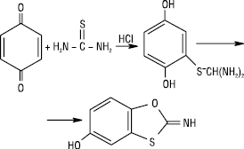
При взаємодії з тіосечовиною у хлороводневій кислоті Х. утворюють продукти, які поступово циклізуються до гетероциклічних систем:

Х. здатні утворювати з фенолами інтенсивно забарвлені молекулярні сполуки комплексного типу, з яких особливо відзначаються сполуки з гідрохіноном (хінгідрони).
Х. добувають окисненням двоатомних фенолів, амінофенолів та багатоядерних аренів за допомогою дії калію біхромату, марганцю (IV) оксиду, срібла оксиду.
Х. поширені в природі як продукти рослинного та тваринного метаболізму, беруть участь в окисно-відновних процесах, які супроводжують дихання. Похідні нафтохінонів — структурні фрагменти природних сполук (вітаміни К1, К2, К3). Вітаміни групи К беруть участь в утворенні протромбіну та забезпечують нормальну коагуляцію крові (антигеморагічний фактор). У медицині застосовують синтетичний водорозчинний аналог вітамінів групи К — 2,3-дигідро-2-метил-1,4-нафтохінон-2-сульфонат натрію (Вікасол). Убіхінони (коферменти Q, коензими Q) — похідні гідрохінону, наявні в ліпідній фазі всіх клітинних мембран і беруть участь в окисно-відновних процесах, які супроводжуються перенесенням електронів у ланцюгу дихання.
Общая органическая химия: В 12 т. / Под общ. ред. Д. Бартона и У.Д. Оллиса. Т. 2. Кислородсодержащие соединения / Под ред. Дж.Ф. Стюарта. — М., 1982; Черних В.П., Зіменковський Б.С., Гриценко І.С. Органічна хімія / За заг. ред. В.П. Черних. — Х., 2008.
