БІОТИН (вітамін Н) — водорозчинний вітамін групи В:

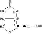
Безбарвні кристали, розчинні у воді; мол. м. 244,3. Б. є коферментом ферментів, що беруть участь у карбоксилюванні органічних кислот. З ферментами Б. зв’язується пептидним зв’язком, що утворюється його карбоксильною групою та e-аміногрупою залишку лізину в молекулі апоферменту. Б. бере участь у фіксації в організмі вуглекислого газу в реакції карбоксилювання піровиноградної кислоти, яка відіграє значну роль в обміні речовин. Б. міститься в значній кількості у дріжджах, печінці, яєчному жовтку, молоці, нирках, цвітній капусті тощо. Значна кількість потреби людини в Б. забезпечується завдяки його синтезу мікрофлорою кишечнику, у зв’язку з чим нестача Б. у звичайних умовах у людини не спостерігається. В сирому білку курячих яєць міститься глікопротеїд авідин, який утворює міцний зв’язок з біотином, що перешкоджає його всмоктуванню в кишечнику, внаслідок чого при вживанні в їжу білка сирих яєць можуть розвиватися явища дефіциту біотину.
Біологічний словник / За ред. К.М. Ситника і В.О. Топачевського. — К., 1986; Боєчко Ф.Ф., Боєчко Л.О. Основні біохімічні поняття, визначення і терміни. — К., 1993; Химическая энциклопедия: В 5 т. / Редкол. И.Л. Кнунянц и др. — М., 1988.
