ВІЛЬХА (Alnus Mill.; можливо, від кельт. al — білий + lan — берег) — рід листопадних однодомних дерев і кущів родини березових (Betulaceae L.). До роду в світі належать понад 160 видів, на території країн СНД — 9, в Україні — 2. Культивується як декоративна рослина в лісозахисних та придорожніх лісосмугах. Найпоширеніший вид — В. клейка (В. чорна) — A. glutinosa (L.) Gaertn.; рос. назва — ольха клейкая. Поширена майже по всій території України, на болотах, берегах річок, у річкових долинах, може утворювати чисті насадження. Дерево 30–35 м завв. Молоді пагони червоно-бурі, неопушені, з білуватими сочевичками. Бруньки клейкі на ніжках. Молоді листки теж клейкі (звідси і назва рослини). Листки прості, черешкові, оберненоовальні або еліптичні, основа клиноподібна, верхівка з виїмкою. Квітки одностатеві, зібрані в суцвіття-сережки (жіночі — зелені, завд. 1–2 см, чоловічі — темно-коричневі, завд. 4–7 см). Плід — горіх. Цвіте в квітні–травні. Офіцинальною сировиною є супліддя (шишки). Запаси сировини дуже великі, щорічно можлива заготівля десятків тонн ЛРС.

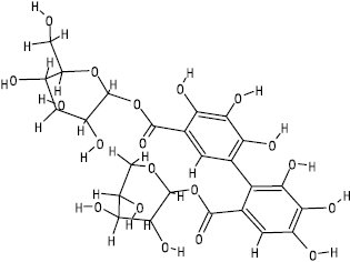
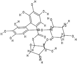
Альнітанін І

Альнітанін ІI

Альнітанін ІII

Альнітанін ІV
Альнітанін І — діефір гексагідроксидифеноїлу-3-(О-α,β-L-арабопіранозидо-3-(О-α,β-D-ксилопіранозид).
Альнітанін ІІ — діефір гексагідроксидифеноїлу-1-(О-α-L-арабопіранозидо-1-(О-β-D-глюкопіранозид).
Альнітанін ІІІ — діефір гексагідроксидифеноїлу-1-(О-β-D-ксилопіранозидо-1-(О-β-D-глюкопіранозид).
Альнітанін ІV — діефір гексагідроксидифеноїлу-1-(О—α-L-арабопіранозидо-1-(О-β-D-ксилопіранозид).
Основні діючі речовини В. — фенольні сполуки. Деревина містить дубильні речовини (0,85–1,3%), лігнани (ліонізид). У корі виявлено ефірну олію, тритерпеноїди (тараксерон, лупеол, глютінон), ситостерин, вітамін РР, дубильні речовини (5,24–25,0%): флобафени, похідні пірокатехіну і пірогалолу. Бруньки містять тритерпеноїд δ-аміренон, флавоноїди (6,4'-диметиловий ефір скутелареїну, 3,6-диметиловий ефір 6-гідроксикемпферолу, 6,4'-диметиловий ефір 6-гідроксикемпферолу, 3,6,4'-триметиловий ефір 6-гідроксикемпферолу, 3'-метиловий ефір кверцетину, центрауреїдин). У листках наявні альдегід гексен-2-аль-1, тритерпеноїди (альнусфоліендіолон, глютинол, тараксерол, δ-аміренон), ситостерин, вітамін С, флавоноїд гіперозид, ксантони, смоляні кислоти: глютинова, глютинолова. У суцвіттях виявлено дубильні речовини (14–16%); у пилку — флавоноїд кверцетин. У супліддях (шишках) містяться тритерпеноїди, ситостерин, фенолкарбонові кислоти (галова, метил-, етилгалат, елагова), 5,4'-дигідрокси-6,8-диметоксифлавон, дубильні речовини (6–30%), галотанін (до 3%), альнітаніни І–ІV (рисунок), вищі жирні кислоти, вищі аліфатичні спирти; у насінні — 16% жирної олії. У науковій медицині супліддя застосовують у вигляді відварів, настойок при гострих та хронічних ентеритах і колітах, дизентерії, застудних захворюваннях, кашлі та подагрі, для полоскання горла, ротової порожнини, для зміцнення ясен, як потогінний засіб у вигляді чаю. Супліддя входять до складу шлункового збору, випускається оригінальний вітчизняний препарат Альтан у формі таблеток та мазі як противиразковий, протизапальний, антимікробний, мембраностабілізувальний ЛП при захворюваннях ШКТ. У нар. медицині настій та настойку кори В. використовують при ентеритах та колітах, при запаленнях і кровотечах ШКТ, відвар — для полоскання горла, при виразках та ранах, як потогінний, а також при діареї. Відвар порошку кори застосовують при пухлинах горла. Листя В. у вигляді настоїв використовують при захворюваннях горла і травного тракту, а також при ревматизмі та подагрі. Відвар листя В. використовують при раку молочної залози, підшлункової залози, дванадцятипалої кишки, травного тракту, прямої кишки, горла, язика, матки та ін.
Рослина декоративна, медоносна, перганосна, кормова, барвник, дубильна. Деревина легка, водостійка, червоного кольору, придатна для виготовлення меблів, фанери, застосовують як будівельний матеріал у підводних та підземних спорудах.
Виноградова Т.А., Гажев Б.Н., Виноградов В.М., Мартынов В.К. Практическая фитотерапия. — СПб., 1998; Дикорастущие полезные растения России / Отв. ред. А.А. Буданцев, Е.Е. Лесиовская. — СПб., 2001; Мінарченко В.М., Тимченко І.А. Атлас лікарських рослин України. — К., 2002; Растительные ресурсы СССР. Цветковые растения, их химический состав, использование. Семейства Magnoliaceae — Limoniaceae. — Л., 1985.
