ВЕРБА (Sálix L.) — рід багаторічних дводомних дерев або кущів родини вербових (Salicaceae). Відомо близько 300 видів роду, розповсюджених у помірному поясі Євразії та Північної Америки. У країнах СНД росте близько 120 видів, в Україні — 29. Усі вони за систематикою Назарова розподіляються на 2 секції: В., які цвітуть до розпускання листків, та В., які цвітуть після розпускання листків. Окрім цього, всі В. за Назаровим діляться на трав’янисті кущі арктично-альпійської зони та дерева і кущі нижніх широт помірного клімату. У медицині використовують декілька видів В. Усі вони в хімічному відношенні мають подібний набір класів і груп БАР (в основному це фенологлікозиди, флавоноїди та дубильні речовини) і відрізняються тільки їх якісним складом і кількісним співвідношенням.
В. біла — S. álba L. (кельт. sal — близько і lis — вода, що вказує на місця зростання); рос. назва — ива белая (верба, ветла, шелюга, ракита, лоза, тал, тальник); нар. назва — лоза. Дерево завв. 2–3 м. Молоді гілки на кінцях сріблясто-пухнасті, старі — голі, бурі. Листки цілісні, чергові, ланцетні або широколанцетні, загострені, пилчасті, 5–12 см завд. і 1–3 см завш.; молоді — притиснутоопушені, біло-сріблясті, дорослі — біло-сріблясті з обох боків або тільки зверху, знизу опушені вздовж центральної жилки, зверху — голі. Квітки одностатеві, в тичинкових і маточкових сережках; тичинкові — циліндричні, 7 см завд. і 1 см у діаметрі, жовті, маточкові — тонкі, зелені. Приквіткові луски бліді. Плід — коробочка. Цвіте у квітні–травні після появи листя. Росте по всій території України (крім високогір’я Карпат) у заплавах річок, на вологих луках, у вологих лісах. Широко культивують як декоративну й меліоративну рослину.
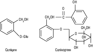
Використовують кору (Cortex Salicis), зібрану в період сокоруху з 3–4-річних гілок. Сушать на відкритому повітрі або в приміщенні, яке добре провітрюється. Кора В.б. є офіцинальною в Німеччині, Франції, Польщі, Чехії, Словаччині, Угорщині й Румунії. В Україні і Росії рослина неофіцинальна. Кора В.б. містить: фенологлікозиди (грандидентатин, тріандрин, саліцин, фрагілін, салікортин), катехіни, антоціани (пурпуринідин, 3-глюкозид ціанідину, 3-глюкозид дельфінідину), лейкоантоціани, дубильні речовини (близько 9%), лігнін, вуглеводи (арабіногалактани, галактоглюкоманан, глюкоманан, 4-О-метил-D-глюкуроноксилан, пентозани, пектинові речовини (11,2%)), вищі жирні кислоти (лінолеву, ліноленову). Листя містить: полісахариди, ізопрен, азотовмісні сполуки (5-гідроксипіпеколінову та інші амінокислоти), фенолкарбонові кислоти та їхні похідні (п-кумарову, кавову, гентизинову, ферулову, хлорогенову, ізохлорогенову), фенологлікозиди (грандидентатин, тріандрин, вімалін, салідрозид, саліцин, фрагілін, тремулоїдин, салікортин), кумарини (ескулетин, ескулін), катехіни ((+)-катехін, епікатехін, (+)-галокатехін), антоціани, флавоноїди (7-О-(п-кумароїлглюкозид) апігеніну, ізокверцитрин, рутин, моноглюкозид рамнетину, ізорамнетин, 3-О-глюкозид ізорамнетину, нарцисин, альбозид), дубильні речовини (6,6–7,6%). З кори В.б. більш ніж 100 років тому було отримано саліцилову кислоту. На її основі співробітник німецької фірми «Байєр» Фелікс Гофман у жовтні 1887 р. синтезував ацетиловий ефір саліцилової кислоти (Аспірин), а пізніше і саму саліцилову кислоту.

Відвар кори В.б. виявляє в’яжучу, гемостатичну, бактерицидну, діуретичну, жарознижувальну дію. Його вживають при діареї, дизентерії, гастритах, колітах, внутрішніх кровотечах, головному болю, невралгії, різних формах неврозу, ревматизмі, подагрі, застудних захворюваннях, малярії, жовтяниці, хворобах селезінки і печінки (коли вони перевантажені великими дозами токсинів), запаленнях сечовивідних шляхів, при гінекологічних та інфекційних хворобах. Зовнішньо відвар кори використовують для полоскань при стоматиті, гінгівіті, пародонтозі, ангіні, запальних процесах ротової порожнини і горла; для ножних ванн при гіпергідрозі, флебіті, варикозному розширенні вен, слабкості м’язів ніг після тяжких хвороб та для обмивання ран і виразок. У різних країнах випускають ЛП, до складу яких входить кора В.б.: Bronchicum tea (Бронхікум чай), «Nattermann», Німеччина; Digestodoron®, «Weleda» SA, Франція; Ephydrol®, «Saunier — Daguin», Франція; Reumavit (Ревмавіт), «Bional», Нідерланди; Species antipyreticae, dia phoreticae, збір від застуди, «Herbapol», Польща; Урофлукс, чай для сечового міхура і нирок (Uroflux® Tea), «Nattermann», Німеччина; Фарма-мед® для сечовивідних шляхів, «Pharma med, Inc», Канада та ін. Молоді пагони використовують для виготовлення меблів. Декоративна, медоносна і перганосна рослина. Культивується для укріплення берегів водоймищ.
В. гостролиста — S. acutifolia Willd., В. червона, шелюга; рос. назва — ива остролистная, шелюга, красная верба. Дерево або кущ завв. до 5 м з тонкими прутоподібними червоно-бурими пагонами і червоно-бурою, яскраво-червоною або, рідше, жовтою корою. Листки ланцетні, 6–15 см завд. і 0,7–1,2 см завш., пильчасті, голі, зверху — зелені, блискучі, знизу — сизуваті або світло-зелені, з ланцетними прилистками. Сережки зацвітають задовго до появи листків, які на гілках розміщені далеко один від одного, сріблясто-волосисті, 2,5–3,5 см завд. Росте по всій території України, крім Карпат і Криму, на піщаному ґрунті, поблизу річок, часто утворює великі зарості. Кора В.г. містить: фенольні сполуки (пірокатехін), фенолкарбонові кислоти та їхні похідні (саліциловий спирт, п-кумарову, кавову, ферулову, саліцилову, п-гідроксибензойну, ванілінову, бузкову кислоти, ванілін, бузковий альдегід), фенологлікозиди (грандидентатин, саліцин, саліперозид), халкони (6′-глюкозид халконарінгеніну (ізосаліпурпозид), 6′-(6»-О-п-кумароїл)-глюкопіранозид 2′,4,4′,6′-тетрагідроксихалкону, флавоноїди (саліпурпозиди, інші похідні нарингеніну, еріодиктіолу), дубильні речовини (12,5%). Листки В.г. містять: кавову кислоту, фенологлікозид саліцин, лейкоантоціанідини, антоціани, проантоціанідини, дубильні речовини (5%). Відвари кори В.г. використовують для полоскання при запаленнях слизових оболонок та з метою отримання саліцину. В Росії В.г. використовують для отримання лютеоліну-стандарту й цинарозиду-стандарту (7-O-β-D-глюкопіранозиду лютеоліну). Настій листя — протизапальний засіб. Одно- і дворічні пагони використовують для плетіння кошиків, меблів та ін. Медоносна, перганосна рослина, незамінна для укріплення берегів водоймищ і створення захисних лісопосадок.
В. козяча — S. cáprea L.; рос. назва — ива козья, бредина, ракита; нар. назва — верболоз, смолова, тала. Дерево або кущ 5–10 м завв. Гілки товсті, розлогі, сіроопушені або бурі, з великими голими бруньками. Деревина під корою червоніюча, без валиків. Листки чергові, цілісні, широкояйцеподібні, завд. 6–18 см і завш. 4–8 см, з сильно виступаючими жилками, рідше — ланцетні, нерівномірнозарубчасті, зверху — голі, темно-зелені, знизу — сіро-повстисті. Квітки одностатеві, у товстих сережках. Чоловічі сережки сидячі, яйцеподібні, до 6 см завд., жіночі — циліндричні, на ніжках, до 10 см завд. Цвіте у березні–квітні до появи листя. Росте по всій території України в широколистяних та хвойно-широколистяних лісах, на узліссях. Кора В.к. містить: фенольні сполуки (саліциловий спирт, тріандрин, саліцин, салікортин), флавоноїди, дубильні речовини (12%), стероїди, алкалоїди, вітамін С. Листя В.к. містить: фенологлікозиди (салідрозид, вімалін, саліцин, салікортин), ефіри оксикоричних кислот, катехіни, проантоціанідини, в гідролізаті — ціанідин, дельфінідин, флавоноїди (кемпферол, лютеолін, апігенін бакозид, салікарпін), дубильні речовини (14,2%). Для В.к., як і для деяких інших видів В. (S. fragilis L. — В. ламка, S. cinerea L. — В. попеляста), характерним є галогенез. При цьому в галах міститься до 50,26% таніну. Суцвіття містять: фенологлікозиди (тріандрин, саліцин, салікортин), флавоноїди (кемпферол, нарингенін, кверцетин, ізорамнетин, лютеолін, діосметин). Кору В.к. у народній медицині використовують як замінник хініну. Входить до складу жарознижувального чаю. Настій використовують при кашлі, мігрені, лихоманці. Відвар — жарознижувальний, знеболювальний, протизапальний, антибактеріальний, гемостатичний, заспокійливий, в’яжучий, протицинготний, антигельмінтний препарат. Зовнішньо використовують для полоскань при гіпергідрозі, фурункулах і виразках, як гемостатик при поверхневих кровотечах. Чоловічі суцвіття використовують при функціональних порушеннях серцево-судинної системи, тахікардії й ангіоспастичному болю. Кору В.к. використовують як дубитель при виготовленні кращих сортів важкої шкіри для пошиву взуття.
В. ламка — S. frágilis L.; рос. назва — ива ломкая. Дерево завв. 10 м із блискучою сірою корою. Стара кора легко знімається пластинами. Листки завд. 6–15 см, цілісні, чергові, вузьколанцетні, нерівномірнозалозисто-пилчасті, голі, блискучі, видовжено-загострені, з косою верхівкою, трохи клейкі. Суцвіття — сережки завд. 5–7 см, циліндричні, приквіткові лусочки жовтуваті, майже голі. Цвіте у квітні–травні. Росте на берегах річок, вологих луках, у вологих лісах. Відвар і порошок кори В.л. застосовують як в’яжучий, гемостатичний, дезінфекційний, діуретичний, жарознижувальний, антигельмінтний засіб; для ванн при варикозному розширенні вен, миття голови при лупі й облисінні; при менорагіях, ентеритах. Зовнішньо — для лікування виразок і фурункулів, при запаленнях слизових оболонок. Настій суцвіть В.л. використовують при нефритах.
В. пурпурова — S. purpúrea L.; рос. назва — ива пурпурная, краснотал, желтолозник; нар. назва — верба червона, жовтолозник, верба багряна. Невеликий кущ або деревце завв. до 4 м. Пагони і гілки довгі, гнучкі, голі, темно-пурпурові, інколи — із сизим нальотом. Листки завд. 3–10 см, супротивні або кососупротивні, тонкі, голі, зеленувато-сизі, оберненоланцетні, цілокраї або гостропилчасті вгорі. Квітки одностатеві, в циліндричних, тоненьких, сіруватих сережках; пиляки та приймочки червоні. Цвіте у квітні–травні. Використовують аналогічно В.л. У корейській народній медицині відвар кори В.п. застосовують при судомах, а примочками з відвару коренів лікують геморой.
Зузук Б.М., Куцик Р.В., Недоступ А.Т. и др. Ива белая. Salix alba L. (Аналитический обзор) // Провизор. — 2005. — № 15, 16, 17; Насудари А.А. Материалы к исследованию некоторых видов ивы из флоры Азербайджана. — Баку, 1966; Растительные ресурсы СССР: Цветковые растения, их химический состав, использование; Сімейства Paeoniaceae — Thymelaeaceae. — Л., 1985; Швец П., Халабала М. Кислота ацетилсалициловая — лекарство, проверенное поколениями (к столетию ацетилсалициловой кислоты). Словакофарма ревю. — К., 2002.
