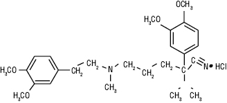
ВЕРАПАМІЛУ ГІДРОХЛОРИД (Verapamili hydrochloridum). (RS)-5-[2-(3,4-Диметоксифеніл)етил]метиламіно-2-(3,4-диметоксифеніл)-2-ізопропілвалеро-нітрилу гідрохлорид.
C27H39ClN2O4 Мол. м. 491,1

АФІ синтетичного походження. Білий кристалічний порошок, розчинний у воді, помірнорозчинний в етанолі, практично нерозчинний в ефірі; Tпл 144 °С; УФ-спектр: λmax=278 нм (E=127) (у 0,01 М розчині кислоти хлороводневої); ІЧ-спектр, см-1: 1587, 1510, 1253, 1232, 1026, 1149 (в KBr); мас-спектр: m/z 303, 58, 43, 304, 151, 44, 42, 57. Зберігають у герметично закупореній тарі.
Ідентифікують за ІЧ-спектром поглинання субстанції; за характерною реакцією на хлориди; методом ТШХ. Кількісно визначають методом неводного титрування в безводній оцтовій кислоті в присутності меркурій (II) ацетату, точку еквівалентності визначають потенціометрично.
Фармакологічна група. С08DA01 — антиангінальні, антиаритмічні та антигіпертензивні препарати (антагоніст іонів кальцію).
Фармакологічні ефекти. Антиангінальна, антиаритмічна, антигіпертензивна, діуретична дія.
Застосування. Гіпертонічна хвороба, гіпертонічний криз, стенокардія, профілактика пароксизмальної надшлуночкової тахікардії, передсердна екстрасистолія, гіпертрофічна кардіоміопатія, фібриляція та тріпотіння передсердь (див. Антиангінальні препарати, Антиаритмічні препарати, Тахікардія, Діуретики).
Вартанян Р.С. Синтез основных лекарственных средств. — М., 2004; Компендиум 2015 — Лекарственные препараты / Под ред. В.Н. Коваленко. — К., 2015; От субстанции к лекарству / Под ред. В.П. Черных. — Х., 2005; Clarke’s isolation and identification of drugs/ Ed. A.C. Moffat. — London, 1986; European Pharmacopoeia 5; Тhе Меrc index an Encyclopedia of chemicals, drugs and biological. — 13 Ed., 2001. — № 1.
