Валеріана (Valeriana L.) — рід багаторічних трав’янистих рослин родини валеріанових (Valerianaceae Batsch.). Відомо понад 200 видів роду, які поширені в помірному поясі Євразії, Північної Америки, в Андах Південної Америки. У країнах СНД дикорослими є близько 30 видів. Культивується. У медицині використовують збірний вид — Валеріана лікарська — V. officinalis L. (лат. valere — бути здоровим + officinalis, е — аптечний, лікарський), який поєднує види: V. exalta Milkon. — В. високу, V. nitida Kreyer. — В. блискучу, V. stolonifera Czern. — В. пагононосну, V. rossica Smirn. — В. руську, V. tanaitica Worosch. — В. донську, V. Grossheimii Worosch. — В. Гроссгейма, V. collina Wallr. — В. пагорбову, V. sambucifolia Mikan. — В. бузинолисту, V. wolgensis Kazaken — В. волзьку; рос. назва — валериана лекарственная; нар. назви — ароматник, земляний ладан, маун, одолян, чортове зілля, чортове ребро.
Багаторічна трав’яниста рослина. Кореневища із численними придатковими коренями, короткі, товсті, з тугою чи м’якою, іноді пустою серцевиною, з поперечними суцільними або перерваними перегородками. У дикорослої В. кореневища 2–3 см завд., у культивованої — до 5 см завд. та до 3 см завт. Корені циліндричні 1–2 мм завт., гладенькі, у дикорослої — до 8 см, а в культивованої — до 20 см завд. На кореневищах помітні залишки столонів. Стебло 30–100 см завв., прямостояче, циліндричне, борозенчасте, порожнисте, голе або опушене, у верхній частині розгалужене. Листки супротивні, непарноперисторозсічені, з ланцетоподібними сегментами; нижні — черешкові з 4–5 парами сегментів, стеблові — сидячі з 6–8 парами сегментів. Край сегментів пилчастий, рідше — цілісний. Квітки двостатеві, неправильні, дрібні, білі чи рожеві, зібрані в щіткоподібні напівзонтики на верхівці стебла і в пазухах верхніх листків. Плід — сім’янка. Цвіте в травні–червні, плоди дозрівають у липні–серпні. Росте майже по всій території України в заболочених низинах, на суходільних луках, по берегах.
Офіцинальною сировиною валеріани лікарської є кореневища з коренями — Rhizomata cum radicibus Valerianae. Заготовляють восени після дозрівання плодів або рано навесні. Спочатку сировину підв’ялюють протягом 1–2 днів, а потім сушать при температурі 35 °С або у затінку.
Основними діючими речовинами кореневищ з коренями валеріани лікарської є ефірна олія — 0,2–3,5% та валепотріати — 0,5–1%. До складу ефірної олії входять: борнілацетат — 32,15%, алоаромадендрен, 3-метилбутанова кислота, кесан, α-кесилацетат, α-кесанілацетат, α-кесиловий спирт, каноканол, ізовалеріанова, гесперитинова, валеринолова, валеренова, ацетилвалеринолова та бегенова кислоти, естери ізовалеріанової кислоти, (-)—борнеол, камфен, ледол, мааліол, лимонен, фауринон, валереніловий естер, валеранон, β-бізаболен, куркумен, (-)-міртенол, (-)—міртенілізовалерат, (-)-міртенілфталат, гвайан, гвайазулен, еудален, семінан, β-іонон, пачулієвий спирт, ∆3 карен, феландрен, зингіберен, оцимен, каріофілен, ізокаріофілен, гексаметилбензол. Іридоїди валепотріати: ізовалтрат, ацевалтрат, гомовалтрати, валепотріат, ацетоксивалепотріат, дигідроксивалепотріат, непеталактон. При сушінні кореневищ з коренями В.л. валепотріати піддаються частковому ензиматичному розщепленню з утворенням іридоїду балдриналю та ізовалеріанової кислоти чи її аналогів. При цьому сировина набуває характерного запаху.

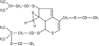
Ацевалтрат

Балдриналь
Валеріана лікарська також містить алкалоїди: актинідин, N-(2-n-гідроксифеніл)-етилактинідин, скитанін, текостанін, текоманін, валеріанін, валерин і хатинін; макро- та мікроелементи: K, Ca, Mg, Fe, Mn, Cu, Zn, Cr, Al, Ba, V, Se, Ni, Sr, I, B.
У надземній частині міститься ефірна олія, у складі якої: (-)-борнілацетат, (-)-борнеол, камфен, α-пінен, β-пінен, лимонен, n-цимол, кесан, α-кесилацетат; вуглеводи, зокрема крохмаль; іридоїди: валтрат, ацевалтрат, ізовалерилоксигідроксидигідровалтрат; фенолкарбонові кислоти та їх похідні: кавова, хлорогенова, ізохлорогенова; флавоноїди: апігенін, лютеолін, діосметин, кемпферол, кверцетин, 7-глікозид лютеоліну, 7-біозиди апігеніну, лютеоліну та діосметину; вітаміни: токоферол (вітамін Е); алкалоїди.
У медицині застосовують відвар кореневищ з коренями валеріани лікарської, сухий екстракт, настойку та комплексні препарати: валокормід, кардіовален, кардіофіт, краплі Зеленіна, конвалієво-валеріанові краплі, краплі шлункові, зубні краплі. Сировина входить до заспокійливого і шлункового зборів. Галенові препарати В.л. знижують збудливість ЦНС, регулюють серцеву діяльність, знижують АТ, виявляють спазмолітичну і слабку жовчогінну, десенсибілізувальну, глистогінну, вітрогінну дію, підсилюють секрецію залоз травного тракту; їх застосовують при хронічних функціональних розладах ЦНС, істерії, епілепсії, судомах, гострих збудженнях із приводу психічної травми, при легких формах неврастенії та психастенії, маніакально-депресивних станах, невралгії, нейродермітах, хронічному розладі коронарного кровообігу, для лікування та профілактики стенокардії, артеріальної гіпертензії, екстрасистолії, при пороках серця, хворобах печінки та жовчовивідних шляхів, пов’язаних з порушенням секреторної функції, клімактеричних розладах, при розумовій та фізичний перевтомі, бронхіальній астмі, запаленні легень, спазмах шлунка, кишкових коліках, діареї; у дерматології — при екземі, нейродерміті, свербінні шкіри, кропив’янці, псоріазі; у стоматології — при превалюванні нервового компонента в розвитку пародонтозу, у комплексній терапії хвороб ротової порожнини. При передозуванні препаратів валеріани лікарської можливі порушення серцевої діяльності, збудження нервової системи, головний біль, надмірна сонливість, відчуття пригніченості, зниження працездатності. Застосовують у гомеопатії та косметиці.
Медоносна та декоративна рослина.
Компендіум 2003 — лекарственные препараты / Под ред. В.Н. Коваленко, А.П. Викторова. — К., 2003; Корнієвська В.Г., Лесик І.П. Ефірна олія валеріани лікарської // Фармац. журн. — 2000. — № 3; Растительные ресурсы СССР: Цветковые растения, их химический состав, использование. Семейства Caprifoliaceae — Plantaginaceae. — Л., 1990; Фурса Н.С., Зотов А.А., Дмитрук С.Е. Валериана в фитотерапии. — Томск, 1998; Фурса Н.С., Корниевский Ю.И., Мазур И.А. Валериана — корень жизни. — Запорожье, 1996.
