ЖОВЧ (лат. bilis, fel, chole) — продукт зовнішньосекреторної діяльності печінки. Ж. становить рідкий секрет жовтувато-коричневого кольору. У людини за добу утворюється до 2 л Ж. Питома вага печінкової Ж. дорівнює 1,01, міхурової — 1,04. Концентрація основних компонентів у міхуровій Ж. у 5–10 разів вища, ніж у печінковій. Реакція печінкової Ж. лужна (рН 7,5–8,0). Структурною одиницею печінки є частка — Асіnus, яка складається з паренхімної тканини, до якої надходить кров із окремих гілок ворітної вени і печінкових артерій. Ж. із частки потрапляє до малих поодиноких проток зворотного кровотоку і міститься між двома печінковими венами, до яких потрапляє кров. Жовчні протоки утворюються внаслідок злиття клітинних мембран гепатоцитів, які прилягають один до одного, формуючи компактні ділянки, що обмежують зону проток і відділяють інтерстиціальну рідину в просторі Діссе (знаходиться між ендотеліальними клітинами і поверхнею паренхімних клітин печінки) від Ж. у канальцях. Ці компактні ділянки є проникними для води та електролітів. Поверхні клітинних мембран, які утворюють стінки канальців, можуть підлягати змінам з утворенням мікроворсинок, що збільшує поверхню канальців. Щоб зрозуміти, як утворюється Ж., слід простежувати механізми стимуляції руху води в напрямку канальців, оскільки гідростатичний тиск тут не є основним чинником. Найвірогідніше, основним механізмом тут є осмотичний градієнт по обидва боки мембрани канальців, які утворюються гепатоцитами. Найважливішим у цьому механізмі є градієнт, який формується внаслідок активного виділення зв’язаних жовчних кислот (міцелярний розчин). У більшості видів ссавців, у т.ч. у людей, існує лінійна залежність між надходженням Ж. та виділенням зв’язаних жовчних кислот. Цей процес не пояснює повністю секрецію Ж., оскільки коли утворення жовчних кислот знижується, то виділення Ж. залишається на майже однаковому рівні (надходження Ж. незалежне від жовчних кислот). Механізм утворення Ж., незалежної від жовчних кислот, поки що вивчений недостатньо. Оскільки Ж. містить високий рівень натрію при низькій секреції жовчних кислот, то робляться спроби знайти кореляцію між продукцією Ж., незалежною від жовчних кислот, з одного боку, та активністю Nа+/К+-АТФази, здатністю гепатоцитів до транспорту Na+ крізь клітинні мембрани та утворення осмотичного градієнта, що сприяє появі Ж. У формуванні Ж., крім того, беруть участь клітини, які вистеляють первинні жовчні та дистальні канальці. Тут відбувається поглинання води, NaCl та CO2, причому ємність зростає внаслідок гальмування канальцевої абсорбції води і солі. В утворенні Ж. бере участь також жовчний міхур (загущення жовчі). Ж., яка утворилася і виділилася з печінки, проходить через розгалужені жовчні канальці до тонкої кишки. Деякі складники Ж. не поглинаються повторно в кишечнику, це означає, що механізм печінкової секреції є для них одночасно механізмом їх виділення. До цієї групи можна віднести білірубін та продукти метаболізму ЛП. Інші складники Ж. активно реабсорбуються в ілеумі. Маючи вільний доступ до портальної крові, окремі складники підлягають реабсорбції і виділяються у Ж. у майже такій самій кількості. Процеси секреції, поглинання та ресекреції визначаються печінково-кишковим обміном, який функціонує як головний механізм, що дозволяє затримувати жовчні кислоти в організмі, а також зберігати їх високий рівень у жовчних шляхах та верхній частині тонкої кишки. Це унеможливлює дію жовчних кислот як біологічних детергентів. Ця дія залежить від рівня жовчних кислот у середовищі. Основними компонентами Ж. є вода, жовчні кислоти (первинні — холева і дезоксихолева і вторинні — глікохолева і таурохолева) та їх солі, холестерин, лецитин, білірубін, речовини, які надійшли з їжею, і ліки, електроліти — Nа+, К+, Са2+ та пов’язані з ними аніони, а також незначна кількість білків.


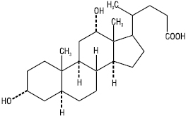
Холестерин (cholesterinum; грец. chole — жовч) — одноатомний ненасичений циклічний спирт, в основі структури якого лежить циклопептанпергідрофенантрен. Холестерин належить до групи стеринів і в клітинах міститься у вільному і зв’язаному із вищими жирними кислотами вигляді. Використовується для синтезу низки БАС: стероїдних гормонів, вітаміну D3, жовчних кислот та ін. Майже 80% холестерину, який міститься в організмі, синтезується в гепатоцитах. У тонкому кишечнику 30% холестерину всмоктується в кров, а інша частина виводиться. Виведення холестерину і жовчних кислот, які з нього синтезуються, — це основний шлях, за допомогою якого організм може позбавлятися від залишків холестерину. Якщо в їжі холестерин повністю відсутній, то його синтез у тканинах відбувається з максимальною швидкістю (близько 1 год/добу), а увесь він виводиться: 50% — у вигляді холестерину та 50% — у вигляді жовчних кислот. Жовчні кислоти (acida cholica) — похідні холанової кислоти, що входять до складу жовчі й беруть участь у деяких процесах у ШКТ (гідроліз і всмоктування жирів, перенесення ліпідів у водному середовищі тощо); є кінцевим продуктом обміну холестерину, у печінковій Ж. дисоціюють і знаходяться у формі жовчнокислих солей калію і натрію. Жовчні пігменти, що екскретуються печінкою, — кінцеві продукти розпаду гемоглобіну й інших похідних порфірину, молекули яких містять 4 пірольних кільця у вигляді відкритого ланцюга. У Ж. людини містяться сліди білівердину (пігмент зеленого кольору, який утворюється при розпаді гему гемоглобіну), білірубін (пігмент червоно-коричневого кольору), який утворюється при відновленні білівердину під впливом ферменту білірубінредуктази, а також холеглобін, уробіліноген, уробілін, стеркобіліноген і стеркобілін. Функції Ж.: 1) емульгує жири у дванадцятипалій кишці, розчиняє продукти гідролізу жирів; 2) сприяє всмоктуванню і ресинтезу тригліцеридів (бере участь в утворенні міцел і хіломікронів); 3) підвищує активність ферментів панкреатичного соку, особливо ліпази; 4) підсилює гідроліз і всмоктування білків і вуглеводів; 5) стимулює моторну діяльність тонкого кишечнику; 6) стимулює проліферацію і злущування ентероцитів; 7) інактивує пепсин у дванадцятипалій кишці; 8) чинить бактерицидну дію. Порушення стабільності Ж., запальні процеси в жовчовивідних шляхах спричиняють формування конкрементів і розвиток жовчнокам’яної хвороби. Процеси жовчоутворення і жовчовиділення стимулюють жовчогінні препарати.
Виробляють препарат Жовч медична консервована (Chole cоnservata medicata), який використовують зовнішньо для компресів при артрозі, артриті, тендовагініті, радикуліті, як протизапальну, знеболювальну, розсмоктувальну речовину. Висушена Ж. входить до складу жовчогінного препарату Алохол. Жовчні кислоти — компоненти препаратів Хенофальк, Урсофальк, Холегон та інші, які застосовують при захворюваннях печінки та жовчного міхура.
Ангєльскі С., Домінічак М.Г., Якубовські З. Клінічна біохімія. — Сопот, 1998; Агаджанян Н.А., Тель Л.З., Циркин В.И., Чеснокова С.А. Физиология человека. — М., 2001; Ганиткевич Л.В. Физиология желчеотделения. — М., 1974; Ганиткевич Л.В., Карбач Л.И. Исследования желчи. — К., 1985; Машковский М.Д. Лекарственные средства. В 2 т. — М., 2002; Пак М.Ф., Бондарев Л.Н. Эндокринно-ферментное и специальное сырье, перспективы его использования для медицинских препаратов // Лекарственные средства. Экономика. Технология и перспективы получения: Обзор. информ. — М., 1990. — Вып. 10; Словарь физиологических терминов / Под. ред. акад. О.Г. Газенко. — М., 1987.
