МІНЕРАЛОКОРТИКОЇДИ — гормони, які синтезуються в клубочковій зоні кори надниркової залози і регулюють водно-сольовий обмін в організмі. До М. належать альдостерон, 11-дезоксикортикостерон та деякі інші сполуки.

Альдостерон

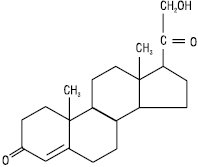
11-Дезоксикортикостерон
Основним М. є альдостерон, який у 30–50 разів активніший за 11-дезоксикортикостерон. У нормі клубочкова зона продукує 60–90 мкг альдостерону на добу. Синтез і секрецію альдостерону стимулюють головним чином ангіотензин ІІ, адренокортикотропний гормон (АКТГ), висока концентрація К+ і низька концентрація Na+, гальмують допамін і натрійуретичний фактор передсердя.
Головною мішенню для М. є нирки. Гормони діють на нирки, стимулюючи реабсорбцію в дистальних канальцях Na+, Cl– і HCO3– та збільшують екскрецію із сечею К+, Н+ і NH4+. Гормони впливають на транспорт іонів і в інших епітеліальних тканинах: потових і слинних залозах, слизовій оболонці кишечнику. Внаслідок цього ефект гормонів проявляється затримкою Na+, Cl–, HCO3– і води в організмі та виведенням К+, Н+ і NH4+. Механізм дії альдостерону подібний до механізму дії інших стероїдних гормонів. Зв’язуючись із специфічними рецепторами клітин-мішеней, гормон стимулює синтез РНК і білків, які посилюють активний транспорт Na+ із клітини в інтерстиціальний простір. Альдостерон разом із реніном і ангіотензином утворює єдину систему — ренін — ангіотензин — альдостерон. Ця система є регулятором АТ та водно-електролітного обміну в організмі людини. При зниженні АТ, втраті рідини або крові, зниженні концентрації NaCl стимулюється вивільнення реніну — ферменту, який каталізує перетворення ангіотензиногену на ангіотензин І, який, у свою чергу, за допомогою АПФ перетворюється на ангіотензин ІІ — основний компонент цієї системи. Останній є однією з найбільш активних судинозвужувальних речовин. Одночасно ангіотензин ІІ стимулює синтез і секрецію альдостерону. Судинозвужувальний вплив ангіотензину на артеріоли і затримка Na+ та води альдостероном відновлюють АТ і об’єм рідини в організмі до вихідного рівня.
Порушення функції кори надниркової залози проявляються їх гіпо- або гіперфункцією. Гіпофункція може бути первинною (ураження кори надниркової залози — хвороба Аддісона, бронзова хвороба) або вторинною (ураження гіпофізу). Хвороба Аддісона зумовлена дефіцитом як глюкокортикоїдів, так і М. Недостатність альдостерону призводить до порушень водно-електролітного обміну. Організм втрачає натрій і воду, але утримує калій, внаслідок чого розвиваються гіпотонія, м’язова слабкість, прогресуюча стомлюваність, — результат порушень калій-натрієвого градієнта на мембрані м’язових клітин.
Гіперфункція залози також може бути первинною або вторинною, пов’язаною з підвищеною продукцією АКТГ. Причиною первинного гіперальдостеронізму (синдрому Конна) є пухлини клубочкової зони кори надниркової залози. Підвищена продукція альдостерону супроводжується затримкою натрію (гіпернатріємією) і виведенням калію, гіпертензією, тенденцією до набряків, зниженою м’язовою функцією, слабкістю, зумовленою низькою концентрацією К+.
У медичній практиці застосовуються синтетичні препарати М. — дезоксикортикостерону ацетат і дезоксикортикостерону триметилацетат. Підставами для їх застосування є хвороба Аддісона і тимчасове зниження функції кори надниркової залози, а також міастенія, астенія, адинамія, м’язова слабкість, гіпохлоремія та деякі інші хвороби. Велику увагу приділяють речовинам, які впливають на ангіотензинову систему. Агоністи ангіотензину ІІ (ангіотензинамід) використовують як судинозвужувальні речовини, в той час як антагоністи є цінними антигіпертензивними речовинами. Цими антагоністами можуть бути речовини, які блокують ангіотензинові рецептори або інгібітори АПФ, що блокують перетворення ангіотензину і на ангіотензин ІІ. До останніх належать такі препарати, як каптоприл, еналаприл та ін.
Биохимия человека / Р. Марри, Д. Греннер, П. Мейес, В. Родуэлл: В 2 т. Т. 2. — М., 1993; Гонський Я.І., Максимчук Т.П. Біохімія людини. — Тернопіль, 2001; Губський Ю.І. Біологічна хімія. — К.–Тернопіль, 2000.
