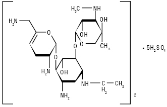
НЕТИЛМІЦИНУ СУЛЬФАТ (Netilmicini sulfas), 2-Деокси-6-О-[3-деокси-4-С-метил-3-(метиламіно)-β-L-арабінопіранозіл]-4-О-(2,6-діаміно-2,3,4,6-тетрадеокси-α-D-гліцеро-гекс-4-енопіранозил)-1-N-етил-D-стрептаміну сульфат.
C42H82N10О14·5H2SO4 Мол. м. 1442

АФІ синтетичного походження. Білий порошок, дуже добре розчинний у воді, практично нерозчинний в ацетоні і етанолі.[α]20D = +88,0 — +96,0°. Зберігають у щільно закупореному контейнері, у захищеному від світла місці.
Ідентифікують методом рідинної хроматографії, проводять реакцію на сульфат-іони. Кількісно визначають мікробіологічно (вміст антибіотиків — методом дифузії).
Фармакологічна група. J01GB07 — антибіотичні препарати.
Фармакологічні ефекти. Має бактерицидну дію. Активний відносно грамнегативних бактерій: Escherichia coli, Enterobacter spp., Salmonella spp., Shigella spp., Proteus spp., Klebsiella spp, Citrobacter spр., Morganella morganii, Providencia rettgeri, Pseudomonas aeruginosa, Neisseria gonorrhoeae; грампозитивних бактерій: Staphylococcus spp. (штами, що продукують і не продукують пеніциліназу, а також метицилінрезистентні штами). Деякі штами Providencia spp., Acinetobacter spp., Aeromonas spp. також чутливі до нетилміцину.
Застосування. Інфекційно-запальні захворювання, викликані чутливими до нетилміцину мікроорганізмами, у т.ч. бактеріємія, септицемія; інфекції дихальних шляхів, нирок і сечостатевих шляхів, шкіри і м’яких тканин, кісткової тканини і суглобів; інфіковані опіки, рани; післяопераційні інфекції; інфекції органів черевної порожнини і ШКТ, перитоніт; гостра неускладнена гонококова інфекція у чоловіків і жінок.
Компендиум 2015 — Лекарственные препараты / Под. ред. В.Н. Коваленко. — К., 2015; От субстанции к лекарству / Под ред. В.П. Черных. — Х., 2005; European Pharmacopoeia 5.
