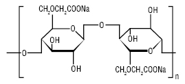
НАТРІЮ КАРБОКСИМЕТИЛЦЕЛЮЛОЗА (Карбоксиметилцелюлоза розчинна, натрію-КМЦ), Carmellosum natricum (Ph Eur), Carmellose (BP, JP), Carboxymethycellulose sodium (USP), Cellulose, Carboxymethyl ether, sodium salt (CAS № 9004-32-4), син.: Acucell, Aguacorb; cellulose gum, CMC sodium, E466, Tylose CB. Відповідно до Фармакопеї США 28 Н.к. є натрієвою сіллю полікарбоксиметилового етеру целюлози. Мол. м. 90 000–700 000.

Отримують шляхом обробки очищеної лужної целюлози натрію монохлорацетатом. Це білий, без запаху, гранульований порошок, має такі характерні ознаки: щільність (in bulk) — 0,52 г/см3, щільність (сипкість) — 0,78 г/см3, константа дисоціації рКа=4,30; Tпл ≈227 °С (темніє), ≈252 °С (обвуглюється); гігроскопічна (містить до 10% води), може поглинати значну кількість води при температурі до 37 °С і відносній вологості приблизно 80%; практично не розчиняється в ацетоні, спирті (95%), етері, толуолі; легко розчиняється при будь-якій температурі, утворюючи прозорий колоїдний розчин. Розчинність у воді змінюється залежно від ступеня заміщення (зростає одночасно із зростанням ступеня полімеризації). 1% водний розчин може мати в’язкість від 5 до 13 000 мПа·с, оскільки промисловість виробляє Н.к. із різною в’язкістю. Із зростанням концентрації Н.к. зростає в’язкість водного розчину. Тривале зберігання розчину при високих температурах призводить до деполімеризації Н.к. і, відповідно, до зменшення в’язкості розчину. В’язкість розчину стабільно стійка при рН у межах від 4,0 до 10,0. Приблизна в’язкість 1% водного розчину Н.к.: з низькою в’язкістю — 10–15 мПа·с, з середньою в’язкістю — 1500–2500 мПа·с, з високою в’язкістю — 8000–12 000 мПа·с.
Н.к. є стабільною сполукою, незважаючи на гігроскопічність. За умови високої вологості повітря може поглинати понад 50% води. У таблетках це може змінювати їх міцність і час розпадання. Водні розчини із Н.к. стабільні в межах рН 2,0–10,0. В’язкість різко зменшується при рН <2,0, а стабільність — >10,0. Максимальна в’язкість і стабільність розчинів при рН 7,0–9,0. Н.к. (у порошку) може бути простерилізована (у герметичних контейнерах) при температурі 160 °С протягом 1 год. Проте це призводить до зменшення в’язкості та погіршення деяких властивостей виготовлених розчинів. Водні розчини можуть стабілізуватися, але в’язкість їх при цьому також зменшується до 25% (але менше, ніж при виготовленні розчину із стерильного матеріалу). Стерилізація розчинів гамма-променями також призводить до зниження їх в’язкості. При необхідності зберігання водних розчинів протягом тривалого часу потрібно додавати до них консерванти. Зберігається Н.к. у герметично закритих контейнерах, у прохолодному сухому місці.
Н.к. широко використовується у виробництві оральних ЛП і препаратів для зовнішнього застосування, перш за все, для підвищення їх в’язкості; у концентрації 4–6% входить до складу мазей, паст як гідрогелева основа, а також препаратів для парентерального застосування. Н.к. використовується також як зв’язувальний та розпушувальний матеріал у виробництві таблеток (2–3%), у рідких ліках — як аніонно-активний емульгатор і стабілізатор емульсій — збільшує в’язкість водного середовища. Водний розчин є слабколужним, що може викликати гідроліз діючих речовин. Н.к. — один із головних інгредієнтів адгезивно-поглинаючих систем при лікуванні проблемних ран, для видалення ранового вмісту, ексудатів, трансдермальних і потовиділень. Ця слизово-зв’язувальна властивість Н.к. використовується у виробництві продукції, призначеної для запобігання постхірургічному прилипанню, а також для модифікації кінетики вивільнення діючих речовин контактуючих систем із слизовими оболонками або відновленою кістковою тканиною. Інкапсулювання з використанням Н.к. підвищує стабільність і впливає на швидкість вивільнення діючих речовин із систем. Відоме використання Н.к. для впливу на цитопротекторну дію (таблиця).
Таблиця. Використання натрію карбоксиметилцелюлози
| Використання | Концентрація (%) |
| Емульсійний агент | 0,25–1,0 |
| Структуроутворювальна речовина | 3,0–6,0 |
| Зв’язувальна речовина | 1,0–6,0 |
| Ін’єкції | 0,05–0,75 |
| Оральний розчин | 0,1–1,0 |
Н.к. використовується в косметології, хірургічному протезуванні, у складі засобів особистої гігієни, харчових продуктів, клеїв.
Жогло Ф., Возняк В., Попович В., Богдан Я. Допоміжні речовини та їх застосування в технології лікарських форм. — Львів, 1996; Handbook of Pharmaceutical Excipiets / Ed. by R.C. Rowe, P.J. Sheskey, S.C. Owen. — London–Chicago, 2006; Shah N.H., Lazarus J.H., Sheth P.R., Jarowski C.I. Carboxymethylcellulose: effect of degree of polymerization and substitution on tablet disintegration and dissolution // J. Pharm. Sci. — 1981. — № 70 (6).
