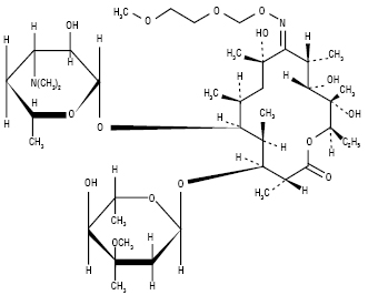
Рокситроміцин (Roxitromycinum), (3R, 4S,5S,6R,7R,9R,11S,12R,-13S,14R)-4-[(2,6- дидеокси-3-c,3-O-діметил-α,L-рибогексапіранозил)окси]-14-етил-7,12,13-тригідрокси-10-[(Е)-[(2-метоксиетокси)метокси]іміно]-3,5,7,9,11,13-гексаметил-6-[(3,4,6-тридеокси-3-диметиламіно-β-D-ксилогексопіранозил)оксо]оксоциклотетрадекан-2-он.
C41H76N2O15 Мол. м. 837

АФІ напівсинтетичного походження. Білий кристалічний порошок, дуже малорозчинний у воді, малорозчинний в розведеній хлороводневій кислоті, легкорозчинний в ацетоні, етанолі та дихлорметані; притаманний поліморфізм; 1% розчин в ацетоні має кут обертання площини поляризації від 93° до 96°. Зберігають у добре закупореній тарі.
Ідентифікують за ІЧ-спектром поглинання субстанції в дихлорметані; методом рідинної хроматографії, рухлива фаза вода — ацетонітрил (3:7). Кількісне визначення методом рідинної хроматографії з використанням колонки з октадецилсилікагелем, рухлива фаза: вода — амоніаку дигідрофосфат — натрію гідроксид; спектрофотометрично при λmax = 205 нм.
Фармакологічна група. J01F A06 — антибіотики групи макролідів.
Фармакологічні ефекти. Антибактеріальна (бактеріостатична) дія відносно грамнегативних і грампозитивних коків, внутрішньоклітинних мікроорганізмів (мікоплазм, хломідій, уреаплазм).
Застосування. Інфекційно-запальні захворювання, викликані чутливими до рокситроміцину мікроорганізмами, інфекції дихальних шляхів (пневмонії, бронхіти) і ЛОР-органів, інфекції шкіри та м’яких тканин, хронічний простатит, негонококовий уретрит, виразкова хвороба дванадцятипалої кишки, хронічний гастрит типу В, вторинна профілактика ревматизму.
Компендиум 2015 — лекарственные препараты / Под ред. В.Н. Коваленко. — К., 2015; От субстанции к лекарству / Под ред. В.П. Черных. — Х., 2005; European Pharmacopoeia 5; The Merk index an Encyclopedia of chemicals, drugs and biological / 13 Ed, 2001. — № 1.
