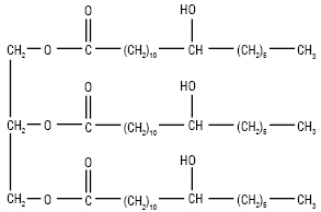
РИЦИНОВА ОЛІЯ ГІДРОГЕНІЗОВАНА, лат. Oleum Ricini hydrogenatum (Ph Eur), Hydrogenatet castor oil (BP, USPNF), Glyceryl-tri-(12-hydroxystearaye) CAS № 8001–78–3; син.: Gastorwax; Gastorwax MP 70, MP 80; Simulsol 1293. Відповідно до Європейської Фармакопеї 2005 Р.о.г. — тригліцерид в основному 12-гідроксистеаринової кислоти, який одержують шляхом гідрогенізації чистої рицинової олії за наявності каталізатора і що являє собою тонкорозтертий порошок майже білого або біло-жовтуватого кольору або пластівці. Має емпіричну формулу С57О9Н110, мол. м. 939,50. Фармакопея США описує рицинову олію як рафіновану, освітлену гідрогенізовану та дезодоровану рідину, яка головним чином складається з тригліцеридів гідроксистеаринової кислоти, що має структурну формулу:

Р.о.г. згідно з Європейською Фармакопеєю повинна містити в основному 12-гідроксистеаринову (78,0–91,0%), стеаринову (7,0–14%) та 12-гідростеаринову (до 5,0%) кислоти. Інші кислоти повинні бути в таких кількостях: пальмітинова (≤2,0%), арахідонова (≤1,0%), інші жирні кислоти (≤3,0%). Зазвичай Р.о.г. має кислотне число ≤5,0; густину — 0,98–1,10 г/см3; Тсамозайм — 316 °С (відкрита чашка); інтервал Тпл — 83–88 °С; вміст вологи ≤ 0,1%, розподіл розміру частинок — 977% ≥ 1000 мкм за розміром у пластівцях. Практично нерозчинна у воді, розчинна в ацетоні, хлороформі. Прозорі, стабільні хлороформні розчини (до 15%) можуть розчинятися при температурі вище 90 °С у полярних розчинниках та сумішах ароматичних і полярних розчинників (хоча Р.о.г. випадає в осад при охолодженні до 90 °С). Р.о.г. сумісна з більшістю природних і тваринних восків. Стабільна при температурі до 150 °С. Зберігають у герметичних контейнерах, у прохолодному сухому місці.
Р.о.г. як твердий віск з високою Тпл використовується в ЛП для орального застосування: в матеріалах для нанесення оболонок (для сповільнення вивільнення АФІ) у концентрації 5,0–20,0%, у матрицях з цією ж метою — 5,0–10,0%, як мастильна речовина у виробництві таблеток — 0,1–2,0%. Як загущувач у кремах і емульсіях для зовнішнього застосування, в ЛП для орального застосування (таблетках і капсулах) з повільним вивільненням АФІ, а також як покриття та створення твердих матриць. Додатково Р.о.г. використовується для змащення стінок пуансонів у виробництві таблеток, при виробництві харчових та косметичних продуктів.
Dahish F.Q., Parrott E.L. Effect of concentration and size of lubricant on flow rate of granules // J. Pharm. Sci. — 1971. — № 60; Oral controlled release matrix pellet formulation containing microcrystalline ketoprofen / Vergote G.J., Verraet C., Van-Driesscje I. et al. // Int. J. Pharm. — 2002. — № 219.
