РЕОЛОГІЯ (грец. rheos — течія, потік + logos — слово, вчення) — розділ механіки, що вивчає закономірності деформації й плинність матеріальних систем під дією зовнішніх навантажень. У колоїдній хімії (див. Колоїдна хімія) методи реології використовують для дослідження структурно-механічних властивостей дисперсних систем (див. Дисперсні системи) з рідким та твердим дисперсійним середовищем, яким притаманні певні механічні властивості: в’язкість, у деяких випадках — пластичність, пружність та міцність, які пов’язані з їх структурою. Під структурою тіл звичайно слід розуміти просторове взаємне розташування складових частин тіла: атомів, молекул, частинок. Виникнення структур та їх взаємні перетворення в дисперсних системах при зміні концентрації, температури, хімічного складу тощо значною мірою визначаються характером міжмолекулярних взаємодій у системі, просторовою будовою структурних одиниць, особливостями теплового руху частинок, інтенсивністю і часом впливу зовнішніх сил. Вивчення зв’язку між структурою і властивостями матеріалів становить мету і завдання розділу колоїдної хімії, названого за пропозицією П.О. Ребіндера фізико-хімічною механікою. Відносне зміщення точок системи під дією зовнішніх сил або температури, при якому не порушується її суцільність, має назву деформація. Розрізнюють два основні види деформації: стиснення (розтягнення) і зсув, а такі деформації, як скручення й вигин, можна розглядати як комбінації цих основних видів. Деформація відбувається у часі. Деформації, які зникають після того, як дія зовнішніх сил припиняється, звуться пружними. При пружній деформації структура тіла (а також його довжина, об’єм, форма) повністю відновлюється після зняття навантаження, тому цей вид деформації є оборотним. До пружних деформацій відносять об’ємні (розтягання та стиснення), зсувні та деформації скручення. Непружні деформації не зникають після припинення дії сил, що їх викликали, і супроводжуються необоротними змінами в системі, їх називають залишковими. Залишкова деформація, при якій не відбувається руйнування тіла, є пластичною. Згідно з першою аксіомою Р. при ізотропному (всебічному рівномірному) стисненні всі матеріальні тіла незалежно від агрегатного стану (тверді, рідкі, гази) поводяться як ідеально пружні тіла. Тобто в системах спостерігаються тільки пружні деформації, які супроводжуються зменшенням розмірів системи при збереженні її форми і збільшенням густини. При знятті навантаження відновлюються первинні параметри тіла. З цього випливає, що ізотропне стиснення не дозволяє виявити структурні відмінності тіл. Згідно з другою аксіомою Р. будь-яка матеріальна система має всі реологічні властивості (пружність, в’язкість, пластичність, міцність). Ці властивості виявляються при деформації зсуву, яка тому є найбільш важливою в реологічних дослідженнях.
Реологічні властивості рідини при зсуві характеризуються її в’язкістю η (при ламінарному режимі течії). Ламінарною (шаруватою) називають таку течію рідини, при якій частинки рідини рухаються вздовж прямолінійних траєкторій, не перемішуючись; іншими словами, рідина може бути представлена у вигляді сукупності шарів, які при течії ковзають один відносно іншого (рис. 1).

Рис. 1. Деформація рідини між двома пластинами (а) та у трубці (б)
При русі шарів рідини з різними швидкостями між ними виникають сили внутрішнього тертя Fтер, або сили в’язкості. Течія ідеально в’язких тіл (рідин) описується законом Ньютона:
(1)
де
— модуль градієнта швидкості в напрямі х, перпендикулярному напряму руху u шарів; s — площа зіткнення шарів; η — коефіцієнт внутрішнього тертя, або динамічна в’язкість. Фізичний зміст динамічної в’язкості полягає в такому — вона чисельно дорівнює імпульсу, що переноситься від шару до шару в одиницю часу через одиничну площу при градієнті швидкості, рівному одиниці. В’язкість також можна визначити як силу, яку потрібно докласти до шарів рідини з площею s = 1, щоб створити градієнт швидкості, рівний одиниці. В СІ (system international) одиницею в’язкості є Паскаль-секунда [Па⋅с]. Якщо величина динамічної в’язкості характеризує опір рідини рухові її шарів під дією зовнішніх сил, то величина ν = 1/η характеризує рухливість рідини і називається плинністю (вона є зворотною в’язкості).
Виходячи з того, що напруження, яке викликає деформацію зсуву, визначається відношенням сили F до площі s, тобто P = Fтер / s, і враховуючи, що градієнт швидкості течії при зсуві дорівнює швидкості деформації
, дійдемо до співвідношення:
або
(2)
де γ´ — швидкість розвитку деформації (далі — швидкість деформації).
Рівняння (2) є також відображенням закону Ньютона, згідно з яким швидкість деформації пропорційна напруженню зсуву. При дослідженні реологічних властивостей найбільш наочним є графічне представлення результатів у вигляді реограм або кривих течії, які за звичаєм будують у координатах γ´ – P або η — P. Реологічні властивості ідеальних рідин однозначно характеризуються в’язкістю, і в цьому випадку графічна залежність у координатах γ´ – P є прямою, що проходить через початок координат (рис. 2а). В’язкість структурованих рідин, напр. багатоатомних спиртів, залежить від швидкості деформації (рис. 2б). Реологічні властивості таких систем характеризують за допомогою ефективної, або так званої уявної в’язкості ηеф = Р/ γ´.

Рис. 2. Криві течії різних тіл
Рідини та гази здатні текти (деформуватися) під дією дуже малих зовнішніх навантажень доти, поки вони діють, але в’язкість газів значно менше в’язкості рідини. Так, в’язкість повітря при 20 оС становить 0,0181·10–3 Па·с, води — 1·10–3 Па·с, гліцерину — 1499·10–3 Па·с, а у твердих тіл в’язкість може сягати 1015–1020 Па·с. Така значна відмінність в’язкості твердих тіл від газових та рідких систем зумовлена особливостями їх структури, завдяки чому навіть при значних напруженнях зсуву в твердих тілах розвиваються лише пружні деформації. Ф.М. Шведов, а пізніше Е. Бінгам, показали, що за певних умов у деяких твердоподібних тілах (пасти, глини) структура руйнується при досягненні напруження величини Pm, яка зветься межею плинності, і має місце пластична деформація (рис. 2в, г). Межею плинності називається мінімальне напруження зсуву, при досягненні якого починається течія. Так поводять себе ідеально-пластичні тіла. Реологічна поведінка тіл, що виявляють пружні та в’язкі властивості, підпорядковується рівнянню Бінгама:
P = Pm + η*γ´, (3)
де η* — пластична в’язкість, яка характеризує швидкість руйнування структури тіла.
Пластична в’язкість може бути виражена з рівняння (3) як η* = (P – Pm)/ γ´ = ctgβ, де β — кут, створений прямою в на рис. 2 та віссю абсцис.
За фізичним змістом пластична в’язкість відрізняється від ньютонівської в’язкості тим, що остання враховує всі види опору течії тіла, а пластична в’язкість, що є частиною ньютонівської, не враховує міцності структури, яка характеризується межею плинності.
Аналіз рівняння Бінгама показує, що при Рт = 0 співвідношення (3) переходить в закон Ньютона, при Р > Рт швидкість деформації зростає лінійно із збільшенням напруження (рис. 2в), а при Р < Рт швидкість деформації дорівнює нулю. Для більшості структурованих систем залежність γ’ від Р нелінійна (рис. 2г). Це пояснюється тим, що при досягненні межі плинності структура руйнується поступово, у міру збільшення γ’. Можна виділити три критичні напруження зсуву: перша, або мінімальна межа плинності Рm, відповідає початку течії (початку руйнування структури); далі межа плинності за Бінгамом РБ, що відповідає відрізку на вісі абсцис, який відсікається продовженням лінійної ділянки кривої; третій відповідає максимальній межі плинності Рmax, при якій крива переходить у пряму лінію. Очевидно, що Рmax являє собою те напруження, при якому структура в рідині руйнується повністю. Зручність того або іншого рівняння не є єдиним і найважливішим критерієм при описі реологічної поведінки системи. Найбільш істотним є виявлення причин виникнення пружних, пластичних та інших властивостей, встановлення залежності параметрів, що характеризують структурно-механічні властивості систем від складу і структури середовища, яке деформується. Рішення цієї основної задачі пов’язане з вивченням фізико-хімічних закономірностей процесів структуроутворення.
Відповідно до реологічних властивостей тіла поділяють на рідиноподібні (межа плинності дорівнює нулю) та твердоподібні (межа плинності більша за нуль). Рідиноподібні тіла, у свою чергу, класифікують на ньютонівські і неньютонівські рідини. В’язкість ньютонівських рідин не залежить від напруження зсуву і є величиною постійною (напр. вода, спирти, ацетон, плазма крові). Тобто течія таких рідин підпорядковується рівнянню Ньютона (рівняння 2), згідно з яким швидкість деформації зростає лінійно із збільшенням напруження зсуву. Подібні рідини називають нормальними. Крива течії ньютонівської рідини наведена на рис. 2а. Неньютонівськими називаються рідини, в’язкість яких залежить від напруження зсуву, тобто є функцією швидкості деформації (напруження) в рівнянні Ньютона. Відповідно течія неньютонівських рідин не підпорядковується цьому рівнянню, а самі рідини називають аномальними. У цих випадках швидкість деформації нелінійно змінюється із збільшенням напруження зсуву (рис. 2б). Так поводять себе деякі розбавлені міцелярні розчини колоїдних ПАР (див. Поверхнево-активні речовини), природні суспензії зі сферичними частинками, кров. Типові криві течії рідиноподібних тіл наведені також на рис. 3. Розподіл плинних матеріалів на ньютонівські і неньютонівські відображає їх поведінку тільки в сталому процесі безперервного деформування з певною швидкістю, причому, мається на увазі, що стан і властивості системи в часі не змінюються. Узагальненням закону Ньютона на випадок нелінійної залежності γ’ від Р є емпіричне рівняння Оствальда — Вейля
Р = k(γ’)n, (4)
де k і n — сталі, що характеризують дану рідиноподібну систему.
Якщо n = 1, рідина є ньютонівською і параметр k збігається зі значенням ньютонівської в’язкості η (крива 1 на рис. 3). При n > 1 швидкість деформації зі збільшенням напруження зсуву зростає швидше, ніж згідно з лінійним законом, відповідно ньютонівська в’язкість зростає із збільшенням швидкості деформації зсуву (крива 2 на рис. 3). Цей тип кривих належить до так званих дилатантних рідин. Дилатантна поведінка спостерігається в концентрованих агрегативно стійких суспензіях, де немає постійного контакту між частинками. У випадку n < 1 ньютонівська в’язкість знижується із зростанням швидкості деформації зсуву, що характерно для псевдопластичних рідин (крива 3 на рис. 3). Суспензії з асиметричними частинками, розчини полімерів виявляють псевдопластичні властивості.

Рис. 3. Криві течії рідиноподібних тіл: 1– ньютонівські рідини; 2 — дилатантні рідини; 3 — псевдопластичні рідини
Структуровані системи внаслідок наявності сил взаємодії між їх частинками виявляють певною мірою властивості твердих тіл: здатність зберігати форму, певну міцність, еластичність. Але через малу міцність зв’язку між окремими елементами таких систем структура легко руйнується, а ці системи набувають здатності текти. Їх реологічна поведінка не підпорядковується закону Ньютона і може бути описана рівнянням Бінгама (рівняння 3). До таких систем відносять гелі (див. Гелі), пасти, масляні фарби. Для них на відміну від типових твердоподібних тіл характерна низька межа плинності. Типові криві течії твердоподібних тіл наведені на рис. 2 (в, г) та 4. Твердоподібні дисперсні системи поділяються на бінгамівські й небінгамівські. Їх поведінка описується загальним рівнянням
Р — Рт = k(dγ/dt)n. (4)
При n = 1 рівняння описує реологічну поведінку бінгамівського тіла; при n > 1 — пластичне дилатантне тіло; при n < 1 — псевдопластичне твердоподібне тіло. Твердоподібні й рідиноподібні системи відрізняються не тільки наявністю або відсутністю межі плинності, але й відмінністю в поведінці при розвитку деформацій. У структурованих рідинах (бінгамівських) із зростанням напруження зсуву спостерігається перехід до ньютонівської течії, що відповідає гранично зруйнованій структурі (рис. 2г). У твердоподібних тілах збільшення навантаження призводить до розриву суцільності тіла і його руйнування. Разом з тим є безліч систем, які мають проміжні структурно-механічні властивості.

Рис. 4. Криві течії твердоподібних тіл: 1 — бінгамівське тіло; 2 — пластичне дилетантне тіло; 3 — псевдопластичне твердоподібне тіло
Дисперсні системи за характером взаємодії між частинками поділяють на вільнодисперсні та зв’язанодисперсні. Вільнодисперсні системи не чинять опору зусиллю зсуву, мають плинність, і їх реологічні властивості близькі до властивостей дисперсійного середовища. Відповідно до класифікації П.О. Ребіндера ці системи відносять до безструктурних. Такими є розбавлені агрегативно стійкі дисперсні системи (більшість ліозолів, досить розбавлені суспензії й емульсії, аерозолі (див. Аерозолі)). У зв’язанодисперсних (інакше — структурованих) системах частинки дисперсної фази пов’язані одна з одною за рахунок міжмолекулярних сил і не здатні до незалежного переміщення, а здатні здійснювати лише коливальні рухи (гелі, пасти). Згідно із класифікацією П.О. Ребіндера всі структури в колоїдних системах поділяють на два основні типи: коагуляційні й конденсаційно-кристалізаційні. В основу цієї класифікації покладена потенціальна крива взаємодії частинок, що випливає з теорії ДЛФО (Дерягіна, Ландау, Фервея, Овербека), яка наведена на рис. 5.

Рис. 5. Залежність енергії взаємодії U двох частинок дисперсної фази від відстані h між ними
Конденсаційно-кристалізаційне структуроутворення, що відповідає коагуляції (див. Коагуляція), у першому потенціальному мінімумі 1 здійснюється шляхом безпосередньої хімічної взаємодії між частинками. На малих відстанях внаслідок дії ван-дер-ваальсових сил частинки міцно зв’язуються одна з одною з утворенням жорсткої об’ємної структури. Ці структури виникають внаслідок зрощення частинок при конденсації (див. Конденсація) або кристалізації (див. Кристалізація) з розчинів або розплавів. Якщо частинки аморфні, то структура, яка утворюється, є конденсаційною. Кристалічні частинки утворюють кристалізаційні структури. Вірогідні різні механізми отримання конденсаційних структур із істинних розчинів: утворення мікрогетерогенної системи (колоїдної дисперсії частинок нової фази) може передувати з’єднанню цих частинок в просторову сітку, але може здійснюватися і шляхом поступового зчеплення сегментів макромолекул, які створюють молекулярну сітку, у волокна і плівки нової фази. Утворення структур цього типу складає основу твердіння гіпсу (див. Гіпс), створення пористих синтетичних полімерних матеріалів. Формуванням і властивостями цих структур можна управляти, вводячи ПАР і електроліти. Конденсаційно-кристалізаційні структури мають високу міцність і пружні властивості, але не здатні відновлювати структуру після її руйнування. Коагуляційні структури виникають за рахунок ван-дер-ваальсових сил притягання частинок, що викликають коагуляцію на відстанях і відповідають вторинному мінімуму (2) на потенціальній кривій (рис. 5), коли між частинками дисперсної фази є прошарки середовища. На відміну від істинної коагуляції, коли частинки повністю втрачають чинники стійкості (подвійний електричний шар, сольватну оболонку тощо) і злипаються всією своєю поверхнею з утворенням щільних агрегатів, при утворенні коагуляційних структур відбувається ліофобізація лише окремих ділянок поверхні, на яких і виникають точкові контакти, формуючи первинні ланки просторової структури, які заповнені дисперсійним середовищем. Має місце перехід від вільнодисперсного стану до зв’язанодисперсного стану — цей процес називається гелеутворенням. Зв’язок частинок в ділянці вторинного мінімуму порівняно слабкий, тому структура легко руйнується при перемішуванні, струшуванні, течії. Ця обставина, а також наявність залишкових рідких прошарків у зонах контактів визначають усі реологічні властивості коагуляційних структур: відносно низьку міцність, але досить високу пластичність. Їм властива здатність до довільного оборотного відновлення структури після її механічного руйнування — тиксотропія (див. Тиксотропія). Тиксотропію можна розглядати як оборотний перехід золь
гель, що виникає при механічній дії. Явище пояснюється розривом контактів, що створюють структуру, з подальшим оборотним їх відновленням у процесі броунівського руху частинок. Поступове відновлення структури і, отже, наростання її міцності відбувається не тільки, коли система перебуває в спокої, але й при течії системи зі швидкістю, меншою за ту, яка спричинила руйнування первинної структури. На рис. 6 представлено криві течії системи, якій притаманна тиксотропія. Крива 1 відбиває рівноважну залежність, яку отримують при підвищенні напруження. При зменшенні напруження структурне відновлення в системі внаслідок збереження залишкової деформації відбувається відповідно до кривої 2. Відстань між кривими 1 та 2 по вісі абсцис, або площа петлі гістерезису, характеризує ступінь тиксотропності системи.

Рис. 6. Гістерезис тиксотропної системи
Час відновлення структури τ називають тиксотропним періодом. Величини τ для реальних систем можуть складати як частки секунди, так і десятки годин. Тиксотропні властивості проявляють деякі ґрунти, внаслідок чого виникають такі небезпечні явища, як обвали та плавуни. Для протоплазми у клітинах живих організмів також притаманна тиксотропія. Гелі міозину проявляють дуже виражені тиксотропні властивості, що свідчить про роль тиксотропії у роботі м’язів. На відміну від коагуляційних структур, конденсаційно-кристалізаційні структури не мають тиксотропних властивостей, а їх руйнування має необоротний характер, оскільки місця можливих контактів після руйнування зв’язків звичайно блокуються сольватними оболонками. З часом коагуляційні структури здатні зміцнюватися за рахунок перегрупування частинок внаслідок теплового руху, що, в свою чергу, призводить до збільшення кількості контактів і стиснення системи з видаленням частини дисперсійного середовища. Це явище називається синерезисом (див. Синерезис). Синерезису сприяють підвищення концентрації електроліту, температури, введення десольватуючого агента, а також гнучкість і рухливість коагуляційної структури.
Системи з коагуляційними структурами, від яких при висушуванні відділене дисперсійне середовище, називаються ксерогелями (грец. κσερωσ — сухий). Вони здатні поглинати середовище в разі контакту з ним. Цей процес зумовлений як звичайним капілярним поглинанням, так і виникненням розклинювального тиску, внаслідок дії якого розсуваються елементи структури та відбувається заповнення проміжків середовищем (набухання ксерогелю). Явище, зворотне тиксотропії, що полягає у виникненні та зміцненні структури внаслідок механічного впливу, називається реопексією (у перекладі з грец. — утворення гелю при русі). Це явище було відкрите Г. Фройндліхом. Для коагуляційних твердоподібних структур характерні порівняно невеликі межі плинності і досить широка ділянка плинності, внаслідок чого системи такого типу мають важливу технологічну властивість — здатність до формування. Прикладом може служити керамічна маса, яка при напруженнях, які дещо перевищують межу плинності, набуває будь-якої форми і не виявляє течії при напруженнях, менших межі плинності під дією сили тяжіння. Тиксотропія, властива коагуляційним структурам, виявляється в твердоподібних системах тільки з вільною упаковкою, коли частинки під дією навантаження можуть переміщатися одна відносно одної на відстанях, при яких притягання між ними значно знижується. Для твердоподібних матеріалів з конденсаційно-кристалізаційною структурою характерні велика (за величиною напруження) ділянка пружної деформації, відсутність ділянки плинності, крихкість — у них раніше наступає руйнування структури. Тому таким системам не властиві повзучість і тиксотропія. Твердоподібні дисперсні системи, суцільна просторова сітка яких заповнена рідиною, в колоїдній хімії називають гелями. Гелі, утворені з розчинів органічних ВМС, звичайно називають драглями. Твердоподібні й рідиноподібні системи відрізняються не тільки наявністю або відсутністю межі плинності, але й відмінністю в поведінці при розвитку деформації. У структурованих рідинах (бінгамівських) із зростанням напруження зсуву спостерігається перехід до ньютонівської течії, що відповідає гранично зруйнованій структурі (рис. 2г). У твердоподібних тілах збільшення навантаження призводить до розриву суцільності тіла і його руйнування. Відмінність течії золів від течії звичайних індивідуальних рідин або істинних розчинів низькомолекулярних речовин зумовлюється тим, що в перших присутні у зваженому стані колоїдні частинки, розміри яких значно перевищують молекулярні розміри. Присутність таких частинок призводить до перемішування шарів рідини і виникнення турбулентності. Крім того, частинки дисперсної фази звужують простір, зайнятий самою рідиною у потоці, що зумовлює збільшення градієнта швидкості в напрямі, перпендикулярному потоку. Внаслідок цього в’язкість золів завжди вища за в’язкість дисперсійного середовища.
Реологічні властивості розбавленої дисперсної системи, що містить тверді сферичні частинки, визначаються ще й поведінкою окремих частинок у потоці: сферична частинка переміщується поступально зі швидкістю, яка дорівнює швидкості потоку рідинного середовища, крім того, залучається в обертальний рух зі швидкістю, яка дорівнює половині градієнта швидкості потоку. Чим більше об’єм, що займає дисперсна фаза, тим більшим буде розсіяння енергії, а отже, тим вищою повинна бути в’язкість такої системи. Кількісна залежність між в’язкістю η системи і відносним об’ємним вмістом твердої дисперсної фази була встановлена А. Ейнштейном, який вивів рівняння:
η = η0(1 + αϕ), (5)
де η0 — в’язкість дисперсійного середовища, ϕ — об’ємна частка дисперсної фази, α — коефіцієнт форми частинок (для сферичних частинок α = 2,5, несферичних — більше 2,5).
Уводячи поняття питомої в’язкості (ηпит), рівняння (5) можна подати у вигляді:
| ηnum = | η — η0 | = αφ. |
| η0 |
Рівняння (5, 6) виконуються за таких умов: система нестислива, течія ламінарна, відсутні ковзання між частинками і рідиною та взаємодія між частинками. Рівняння Ейнштейна виправдовується тільки для ньютонівських (розбавлених) рідин.
З підвищенням концентрації дисперсної фази зростає взаємодія між частинками і спостерігаються відхилення від рівняння Ейнштейна (в’язкість у концентрованих системах зростає з концентрацією майже експоненціально), що зумовлено взаємодією частинок і, як наслідок, структуроутворенням. Такі системи належать до неньютонівських рідин. Найбільшою мірою це характерно для досить концентрованих систем, особливо тих, які містять продовгуваті частинки. Окремі ділянки поверхні таких частинок позбавлені адсорбційних шарів або розвинених сольватних оболонок. Міжмолекулярна взаємодія на цих ділянках може спричинити злипання частинок, але більш повному контакту між частинками перешкоджають захисні шари на інших частинах поверхні. Наслідком такої взаємодії є утворення агрегатів, що містять в собі нерухому (імобілізовану) рідину. При малих швидкостях течії зчеплення між частинками встигає відновлюватися, і в’язкість системи виявляється значною. Висока швидкість потоку перешкоджає повному відновленню зв’язків між частинками, що призводить до зниження в’язкості. На реологічних кривих (рис. 7) для таких систем виявляються дві ділянки постійної в’язкості, одна з яких (1) відповідає незруйнованій структурі, а інша (2) — повному її руйнуванню, між ними знаходиться ділянка змінної в’язкості, що відповідає різним ступеням руйнування структури.

Рис. 7. Реологічна крива структурованої системи
Крім того, відхилення експериментально визначених значень в’язкості від величин, знайдених за допомогою рівняння Ейнштейна, зумовлене сольватацією частинок. Сольватацією пояснюється й те, що в багатьох випадках спостерігається залежність в’язкості від дисперсності системи при однаковій об’ємній концентрації дисперсної фази. Вплив сольватації можна уявити таким чином. Ефективна об’ємна концентрація сольватованих частинок дисперсної фази ϕ та об’ємна концентрація частинок без сольватних оболонок ϕ0 пов’язані співвідношенням
ϕ = ϕ0(1 + δ /r), (7)
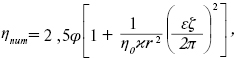
де δ і r — товщина сольватної оболонки і радіус частинки відповідно. Із цього співвідношення випливає, що чим менші частинки дисперсної фази, тим більша їх ефективна об’ємна концентрація, а отже в’язкість повинна зростати зі зменшенням розміру частинок. Подібна картина спостерігалася в дослідах С. Одена при вивченні в’язкості золю сірки. М. Смолуховським було виведене рівняння, яке зв’язує питому в’язкість дисперсної системи з величиною електрокінетичного потенціалу (див. Електрокінетичні явища):
(8)
де ηо — в’язкість дисперсійного середовища, κ — питома електрична провідність, r — радіус частинок, ε — діелектрична проникність. Згідно з рівнянням Смолуховського в’язкість золів при введенні електролітів повинна знижуватися як внаслідок зниження ζ-потенціалу, так і внаслідок збільшення електричної провідності міжміцелярної рідини. В ізоелектричному стані золю при ζ = 0 рівняння Смолуховського переходить у рівняння Ейнштейна. За деякими іншими теоріями, величина електров’язкісного ефекту значно менша, ніж це випливає з рівняння Смолуховського, і зміною в’язкості можна знехтувати, коли товщина подвійного електричного шару мала у порівнянні з радіусом частинки.
Воюцкий С.С. Курс коллоидной химии. — М., 1976; Захарченко В.Н. Коллоидная химия. — М., 1989; Колоїдна хімія / М.О. Мчедлов-Петросян, В.І. Лебідь, О.М. Глазкова та ін. — Х., 2005; Кузьмичев В.Е. Законы и формулы физики. Справочник. — К., 1989; Основи колоїдної хімії: фізико-хімія поверхневих явищ і дисперсних систем / М.О. Мчедлов-Петросян, В.І. Лебідь, О.М. Глазкова та ін. — Х., 2004; Пасынский А.Г. Коллоидная химия. — М., 1968; Ребиндер П.А. Поверхностные явления в дисперсных системах: Физико-химическая механика. — М., 1979; Ребиндер П.А. Физико-химическая механика. — М., 1955; Фармацевтические и биологические аспекты мазей / И.М. Перцев, А.М. Котенко, О.В. Чуешов и др. — Х., 2003; Фридрихсберг Д.А. Курс коллоидной химии. — Л., 1974; Фролов Ю.Г. Курс коллоидной химии. Поверхностные явления и дисперсные системы. — М., 1989.
