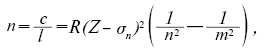
РЕНТГЕНОСПЕКТРАЛЬНИЙ АНАЛІЗ (лат. roentgenum (від імені нім. фізика Рентгена) + spectrum — видиме, видіння; франц. analyse < грец. analysis — розкладання) — сукупність методів визначення елементного складу речовини, заснованих на дослідженні спектрів випромінювання або поглинання рентгенівських променів електронною системою атомів. Джерелом рентгенівського випромінювання є рентгенівська трубка — двоелектродний вакуумний прилад, в якому електрони, які вилетіли з катода, прискорені сильним електричним полем, потрапляють на металевий анод. Різке гальмування цих електронів речовиною анода приводить до виникнення так званого гальмового рентгенівського випромінювання з неперервним спектром. При підвищенні напруги на трубці на фоні суцільного спектра з’являються різкі піки випромінювання негальмової природи, які не вписуються у межі класичної теорії електромагнітного поля. Такий лінійчастий рентгенівський спектр виникає при передаванні енергії прискорених електронів внутрішнім, близьким до ядра, електронам атома речовини анода. При цьому внутрішні електрони вилучаються в ділянку вільних станів, а на їх місце переходять електрони із зовнішніх енергетичних рівнів, випромінюючи кванти електромагнітної енергії певної частоти або довжини хвилі (первинне рентгенівське випромінювання). Частоти цього випромінювання характерні для атомів кожного елемента, тому такий спектр називається характеристичним. Це випромінювання виникає завжди за наявності вільних станів на внутрішніх енергетичних рівнях атома незалежно від причини їх утворення. Зокрема, воно може виникнути при поглинанні квантів електромагнітного поля в рентгенівському діапазоні — так зване вторинне, або флуоресцентне рентгенівське випромінювання. Залежність частоти випромінювання υ (або, відповідно, довжини хвилі λ) від ат. н. хімічного елемента Z для будь-якої лінії (і будь-якої серії ліній) рентгенівського спектра визначається згідно з законом Мозлі:

де R — стала Рідберга; c — швидкість світла; σn — стале число для серії ліній, що розглядаються, так звана стала екранування; n і m — головні квантові числа, які характеризують певну серію випромінювання (причому m > n). Таким чином, закон Мозлі є якісною основою Р.а. Якісний аналіз здійснюють за положенням характеристичних ліній у спектрі випромінювання досліджуваної речовини, кількісний — за їх інтенсивністю. На відміну від оптичних рентгенівські спектри атомів, які знаходяться в різноманітних хімічних сполуках (як у простих, так і в дуже складних), не змінюються через те, що внутрішні електронні енергетичні рівні атомів не деформуються й зберігають свою індивідуальність.
Драго Р. Физические методы в химии. Ч. 2. — М., 1981; Ковач И.В., Синюшко В.Г. Рентгеноспектральный анализ. — К., 1997; Лосев Н.Ф., Смагунова А.Н. Основы рентгеноспектрального флуоресцентого анализа. — М., 1982.
