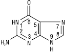
ПУРИНОВІ ОСНОВИ (лат. purus — чистий) — природні похідні гетероциклу пурину. Найбільш важливими П.о. є аденін (6-амінопурин) та гуанін (2-аміно-6-оксопурин).

Пурин

Аденін

Гуанін
Гуанін існує у двох таутомерних формах: лактимній і лактамній. П.о. входять до складу нуклеозидів, нуклеотидів, обох типів нуклеїнових кислот, коферментів, макроергічних сполук (АТФ, ГТФ) та інших БАР. До П.о. можна віднести також продукти пуринового обміну: гіпоксантин, ксантин, сечову кислоту та пуринові алкалоїди (теофілін, теобромін, кофеїн). У деяких нуклеотидах знайдені й рідкісні, так звані мінорні пурини, напр. 2-метиладенін та 1-метилгуанін. Окремі аналоги П.о., напр. 6-тіопурин і 6-тіогуанін, мають протипухлинну та імунодепресивну дію.
Біологічна хімія / Л.М. Вороніна, В.Ф. Десенко, Н.М. Мадієвська та ін. — Х., 2000; Біологічний словник / За ред. К.М. Ситника і В.О. Топачевського. — К., 1986.
