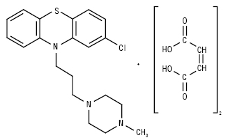
ПРОХЛОРПЕРАЗИНУ МАЛЕАТ

Прохлорперазину малеат (Prochlorperazini maleas), 2-хлор-10-[3-(4-метилпіперазин-1-іл)пропіл]фенотіазину дималеат.

C28H32ClN3O8S                                                     Мол. м. 606

Prochlorperazini maleas.ai

АФІ природного походження. Білий або ледь жовтий кристалічний порошок, дуже малорозчинний у воді та спирті, нерозчинний в ефірі; рН насиченого водяного розчину від 3,0 до 4,0; УФ-спектр: λmax=255 нм (A1m.ai=875), 305 нм в 0,1 М хлористоводневої кислоти. ІЧ-спектр, см–1: 752, 1280, 1569, 1165, 1242, 1145 (KBr). Зберігають у щільно закупореній тарі, в захищеному від світла місці.

Ідентифікують за ІЧ-спектром поглинання субстанції; досліджують УФ-спектр субстанції в 0,1 М розчині хлористоводневої кислоти; методом ТШХ на пластинах силікагелю в системі ацетон — діетиламін — циклогексан (1:1:8), хроматограму переглядають в УФ-світлі при довжині хвилі 254 нм; кольоровою реакцією при нагріванні розчину субстанції з бромною водою доводять наявність фенотидинового ядра — з’являється синє забарвлення; після мінералізації субстанція дає характерну реакцію на хлорид-іони; після мінералізації субстанція дає характерну реакцію на сульфат-іони. Кількісно визначають ацидиметрично хлорною кислотою в середовищі оцтової кислоти з потенціометричним визначенням точки еквівалентності.

Фармакологічна група. N05A B04 — нейролептичні препарати.

Фармакологічні ефекти. Антипсихотична, потенціювальна, стимулювальна, протиблювотна дія.

Застосування. Шизофренія, інволюційні та інші психози з переважанням у клінічній картині апатії, астенічних явищ, субступорозного та ступорозного станів, невгамовне блювання.

От субстанции к лекарству / Под ред. В.П. Черных. — Х., 2005; European Pharmacopoeia 5; Тhе Меrc index an Encyclopedia of chemicals, drugs and biological / 13 Ed, 2001. — № 1.


Інші статті автора