ЦЕЛЮЛОЗИ АЦЕТАТФТАЛАТ, Cellulosi acetas phthalas (PhEur), Cellacefate (USPNF, BP), Cellulose acetate phthalate (JP), Cellulose, acetate, 1,2-benzenedicarboxylate (CAS № 9004-38-0); син.: Acetyl phthalyl cellulose; Aquacoat cPD; CAP; cellacephate; cellulose acetate benzene-1,2-dicarboxylate; cellulose acetate hydrogen 1,2-benzenedicarboxylate; cellulose acetate hydrogen phthalate; cellulose acetate monophthalate; cellulose acetophthalate; cellulose acetylphthalate. Ц.а. — гігроскопічний, білий, плинний порошок або гранули, або пластівці без смаку і запаху або з легким запахом оцтової кислоти.
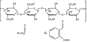
Ц.а. — це целюлоза, в якій близько половини гідроксильних груп є ацетильованими і приблизно чверть є етерифікованими, де одна із двох кислотних груп є фталевою кислотою, а решта гідроксильних груп залишаються незмінними. PhEur 2005 і USPNF 23 описують Ц.а. як продукт реакції фталевого ангідриду та ефіру ацетат целюлози, що містить 21,5–26,0% ацетильних груп і 30,0–36,0% фталильних груп.

Ц.а. отримують за допомогою реакції ефіру ацетат целюлози і фталевого ангідриду за наявності третинної органічної основи, такої як піридин, або сильної кислоти, такої як сульфатна кислота.
Має такі властивості: щільність (bulk) — 0,260 г/см3; щільність (установлена) — 0,266 г/см3; Тпл=192 °C; Т склоутворення = 160–170 °C; вміст вологи — 2,2%; Ц.а. гігроскопічний, і слід вживати заходів обережності, щоб уникнути надмірного поглинання вологи; практично нерозчинний у воді, спиртах та вуглеводнях; розчинний у кетонах, етерах, спиртових етерах, циклічних етерах і в певних сумішах розчинників, розчинний у певних буферних водних розчинах при рН=6,0; має розчинність ≤10% у широкому діапазоні розчинників (ацетон, діоксан, етоксіетилацетат, етилгліколь моноацетат, етиллактат, метоксиетилацетат, β-метоксиетиленовий спирт, метилацетат, метилетилкетон) та сумішах розчинників (ацетон і етанол (1:1), ацетон і вода (97:3), бензол і метанол (1:1), етилацетат і етанол (1:1), метиленхлорид і етанол (3:1)); в’язкість (динамічна) — 15% розчин в ацетоні з вмістом вологи 0,4% має в’язкість 50–90 мПа·с, який є гарним розчином для покриття (за консистенцією схожим на мед), в’язкість якого залежить від чистоти розчинника.
Ц.а. використовується як матеріал для утворення плівкового кишково-розчинного покриття (плівкоутворювач) або як зв’язуюча речовина для таблеток і капсул. Такі покриття забезпечують пролонговану дію при контакті з сильно кислою реакцією шлункового соку і розчиняються в менш кислому або нейтральному середовищі кишечнику.
Ц.а. зазвичай використовують у твердих дозованих ЛП або як розчин для покриття на органічному чи водному розчиннику або при прямому пресуванні. Використовувані концентрації в цілому — 0,5–9,0% (за масою). Додавання пластифікаторів підвищує водостійкість цього покриття, а використання таких сумішей з пластифікаторами є більш ефективним.
Ц.а. сумісний з багатьма пластифікаторами: ацетильованим моногліцеридом, бутиловим фталилбутилгліколятом, дибутилтартратом, діетилфталатом, діметилфталатом, етиловим фталилетилгліколятом, гліцерином, пропіленгліколем, тріацетином, тріацетинцитратом, які обираються на основі експериментальних даних. Крім того, Ц.а. використовується в ЛП із контрольованим вивільненням активних речовин у комбінації з іншими покривними агентами, такими як етилцелюлоза.
При використанні змішаних розчинників важливо розчиняти Ц.а. у розчиннику з більшою розчинною здатністю, а потім додавати другий розчинник. При приготуванні розчинів необхідно завжди додавати Ц.а. до розчинника, а не навпаки. Плівки Ц.а. є проникними для деяких іонних речовин, таких як калію йодид і амонію хлорид. У таких випадках необхідно до покриття додавати відповідний герметик. Відновлені колоїдні дисперсії латексних частинок як розчинника в покривному розчині Ц.а. також доступні. Це білий, нерозчинний у воді порошок, складається з твердих або напівтвердих субмікронних полімерних сфер із середнім розміром частинок 0,2 мм. Типові покривні системи зроблені з латекса цього порошку з вмістом твердої водної дисперсії 10–30% з в’язкістю в діапазоні 50–100 МПа.
Ц.а. нетоксичний і нешкідливий матеріал; несумісний із сульфатом заліза, хлоридом заліза, нітратом срібла, цитратом натрію, сульфатом алюмінію, хлоридом кальцію, хлоридом ртуті, нітратом барію, основним ацетатом свинцю та сильними окиснювачами, такими як сильні луги і кислоти.
При роботі з великими кількостями Ц.а. (має подразнювальну дію) використовують респіратори, захисні окуляри та рукавички.
Супутніми речовинами є ацетат целюлози, фталат гідроксипропілметилцелюлози, полівінілацетатфталат.
Ц.а. повільно гідролізується під дією тривалих несприятливих умов (висока температура, висока вологість), що призводить до збільшення вмісту вільних кислот, в’язкості та запаху оцтової кислоти. Однак Ц.а. є стабільним при зберіганні в герметично закритій тарі в прохолодному, сухому місці.
Возняк В., Попович В., Богдан Я. Допоміжні речовини та їх застосування в технології лікарських форм: Довідковий посібник / За ред. Ф. Жогло. — Львів: «Центр Європи», 1996. — 92 с.; Doelker E. Cellulose derivatives // Adv. Polym. Sci. — 1993. — № 107; Obara S., Mcginty J.W. Influence of processing variables on the properties of free films prepared from aqueous polymeric dispersions by a spray technique // Int. J. Pharm. — 1995. — № 126; Raffin F., Duru C., Jacob M. et al. Physico-chemical characterization of the ionic permeability of an enteric coating polymer // Int. J. Pharm. — 1995. — № 120 (2); Wyatt D.M. Cellulose esters as direct compression matrices // Manuf. Chem. — 1991. — № 62 (12).
