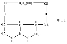
ПЛАТИФІЛІНУ ГІДРОТАРТРАТ (Platyphyllini hydrotartras), естер платинецину та сенеціонінової кислоти.
С18H27O5N,C4H6O6 Мол. м. 487,5

АФІ рослинного походження. Білий кристалічний порошок без запаху, гіркий на смак; легкорозчинний у воді; дуже малорозчинний в етанолі, нерозчинний в етері та хлороформі. Тпл =190–195 ˚С (з розкладанням); рН 3,6–4,0 (0,2% розчин); [α]20D =38–40о (5% розчин). Зберігають у щільно закупореному контейнері.
Ідентифікують з реактивом Майера (білий осад); з калій хлоридом реакція на тартрат-іон (білий кристалічний осад); при нагріванні з β-нафтолом у присутності концентрованої сульфатної кислоти (зелене забарвлення або флуоресценція); за утворенням ферум гідроксамату (червоне забарвлення); за Тпл; за показником питомого оптичного обертання. Кількісно визначають алкаліметричним титруванням (індикатор — фенолфталеїн); неводним ацидиметричним титруванням (індикатор — кристалічний фіолетовий); фотометричним методом з тропеоліном 000-ІІ або з пікриновою кислотою.
Фармакологічна група. А03А Х12 — синтетичні спазмолітики та антихолінергічні препарати.
Фармакологічні ефекти. Блокує холінореактивні системи вегетативних гангліїв. Близький до атропіну за впливом на периферичні холінореактивні системи. Має слабо виражену седативну дію на ЦНС, впливає на судиннорухомий центр, виявляє спазмолітичний ефект. Розширює зіницю, але в порівнянні з атропіном меншою мірою впливає на акомодацію.
Застосування. Бронхіальна астма; гіпертонічна хвороба, стенокардія, спазм судин головного мозку; печінкова, ниркова, кишкова коліка; виразкова хвороба шлунка і дванадцятипалої кишки; в офтальмології — для розширення зіниці або з лікувальною метою.
Компендиум 2015 — лекарственные препараты / Под ред. В.Н. Коваленко. — К., 2015; От субстанции к лекарству / Под ред. В.П. Черных. — Х., 2005; Clarke’s isolation and identification of drugs / Editor A.C. Moffat. — London, 1986; European Pharmacopoeia 5; The Merk index an Encyclopedia of chemicals, drugs and biological / 13 Ed, 2001. — № I.
