СТРОФАНТ (Strophantus L.) — рід багаторічних ліан, який налічує 50–60 видів та належить до підродини Apocynoideae. Рослини отруйні. Для потреб медицини та фармації заготовляють три види С.: С. Комбе — Strophantus Кombe (Oliv), С. прегарний — S. gratus (Hook), С. щетинистий — S. hispidus (DC). Латинізована назва рослини походить від грец. strophos — перекручений та anthos — квітка, що вказує на спірально перекручені пелюстки квіток, Кombe — африканська назва виду. Рослини ростуть переважно у тропіках та субтропіках обох півкуль. Це ліани, але за відсутності опори вони можуть перетворюватися на невеликі дерева та кущі. Більшість видів містять серцеві глікозиди, які отримують переважно з насіння, яке є офіцинальною ЛРС — Semen Strophanthi (входить до складу багатьох фармакопей світу).
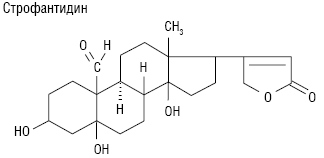
С. Комбе росте у тропічній Центральній Америці та Східній Африці. Найбільш поширений у Мозамбіку, Замбії, Танзанії, де культивується. Належить до рослин, найбагатших за вмістом серцевих глікозидів. Багаторічна рослина С. Комбе родини барвінкових — Apocynaceae — становить собою виткий кущ із супротивними овальними листками, із загостреною верхівкою. Квітки в напівзонтиках, віночок зовні білий, всередині жовтий, п’ятипелюстковий, пелюстки витягнуті у довгі шнуроподібні та перекручені кінці. Плід — збірна листянка, складається з двох веретеноподібних часток, які розходяться горизонтально. Разом плоди досягають довжини до 1 м, містять численне насіння. Насіння з одного боку округле, з борідкою волосків, а з другого — має довгу вісь із великою летючкою шовковистих волосків. Збирають стиглі плоди, вилучають насіння. Насіння довгасте, сплюснене, із закругленим нижнім кінцем і загостреним верхнім, перехідним в ость летючки, зазвичай обламаної в основі. Насіння 12–18 мм завд., 3–6 мм завш., 2–3 мм завт. Укрите шовковистими волосками, притиснутими в напрямку від основи до загостреного кінця. Колір сріблясто-сірий або зеленувато-сірий; після стирання волосків насіння набирає кольору від жовтувато-бурого до ясно-коричневого. На плоскому боці насіння помітний шов. Запах слабкий, підсилюється при розтиранні насіння. Смак не визначається, оскільки містить кардіоглікозиди. Досі з насіння С. Комбе виділено та встановлено будову 17 серцевих глікозидів та агліконів: К-строфантин-β, цимарин, цимарол, периплоцимарин, еміцимарин, 17α-еміцимарин, еризимін, 17α-гельветикозид, еризимозид, еризимозол, неоглюкоеризимозид, К-строфантозид, К-строфантол-γ, строфантозид-19-карбонова кислота, 17α-строфадогенін, 3-епістрофантидин, 3-епістрофантидол. Головним первинним глікозидом С. Комбе є К-строфантозид, вміст якого сягає 2–3%. Цей глікозид складається з аглікону строфантидину та цукрів D-цимарози, двох ланок D-глюкози, тобто є тріозидом. При відщепленні D-глюкози утворюється вторинний глікозид К-строфантин-β, далі фермент β-глюкозидаза відщеплює другу ланку D-глюкози й створюється третинний глікозид цимарин, а після дії ферменту цимарозидази залишається аглікон строфантидин.

Крім К-строфантозиду та його вторинних глікозидів, у насінні цього виду С. є цимарол та інші глікозиди. Загальна кількість серцевих глікозидів насіння С. Комбе сягає 8–10%. Очищена сума глікозидів С. у вигляді 0,1% ін’єкційного розчину широко застосовуються в кардіології, проявляє кардіотонічну дію, не зумовлює кумулятивного ефекту, перевищує всі інші глікозиди за швидкістю та силою дії. Використовується при гострій серцевій недостатності, при тяжких формах хронічної недостатності кровообігу. Сировину та препарати зберігають за списком А. Насіння С. для одержання препарату в Україну імпортується.
Макаревич И.Ф., Ковганко Н.В., Чекман И.С., Загорий Г.В. Кардиотонические стероиды. — Х., 2009.
